Open Access

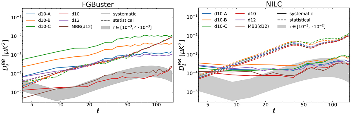
Fig. E.3.

image

Download original image

Angular power spectra of B-mode residuals in the CMB solutions when using the FGBuster (left) and NILC (right) component separation methods for the different considered foreground models. Systematic residuals are shown with solid lines, while statistical ones with dashed lines. All angular power spectra are computed excluding the Galactic plane with the Planck HFI GAL70 mask which retains 70% of the sky.

Current usage metrics show cumulative count of Article Views (full-text article views including HTML views, PDF and ePub downloads, according to the available data) and Abstracts Views on Vision4Press platform.

Data correspond to usage on the plateform after 2015. The current usage metrics is available 48-96 hours after online publication and is updated daily on week days.

Initial download of the metrics may take a while.