Open Access

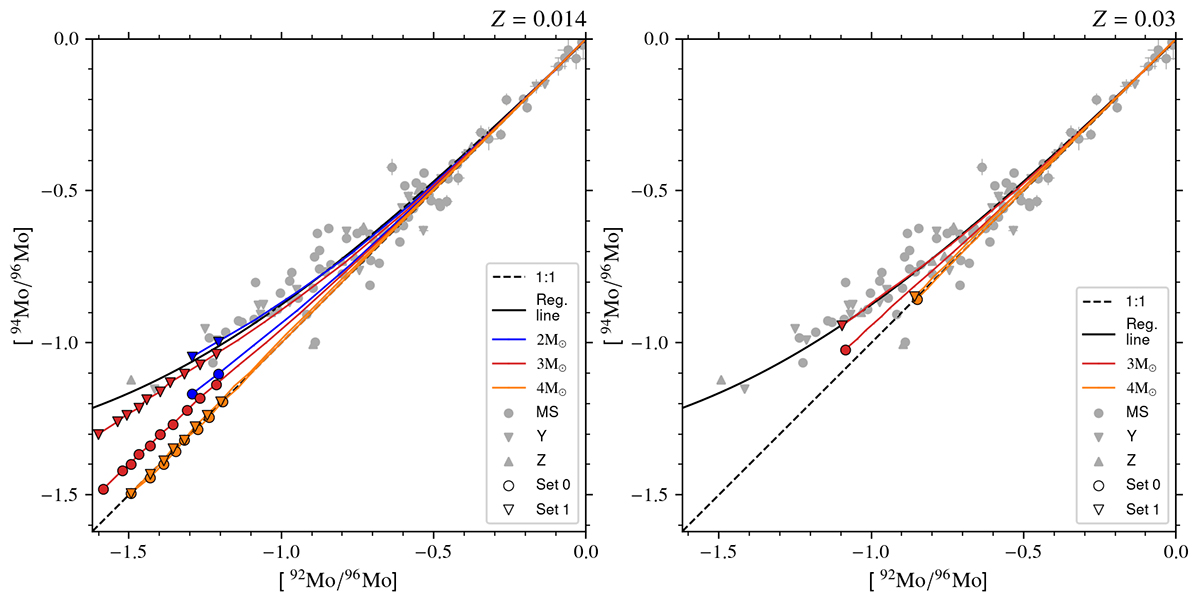
Fig. 1.

image

Download original image

[94Mo/96Mo] vs [92Mo/96Mo] from SiC grain data as dark grey circles MS grains and downward and upward triangles for Y and Z grains, respectively, with 1σ error bars (from Barzyk 2007; Liu et al. 2017b, 2019; Stephan et al. 2019) compared to the surface evolution of Set 0 and Set 1 stellar models of solar (left panel) and of double-solar metallicity (right panel) of different masses (see legend). Circles (Set 0) and triangles (Set 1) on the lines represent the composition after each TDU after the envelope becomes C-rich. The solid black line represents the linear regression from δ94Mo96 vs δ92Mo96, while the dashed black line represents the [94Mo/96Mo] = [92Mo/96Mo] line.

Current usage metrics show cumulative count of Article Views (full-text article views including HTML views, PDF and ePub downloads, according to the available data) and Abstracts Views on Vision4Press platform.

Data correspond to usage on the plateform after 2015. The current usage metrics is available 48-96 hours after online publication and is updated daily on week days.

Initial download of the metrics may take a while.