Open Access

Fig. 10

image

Download original image

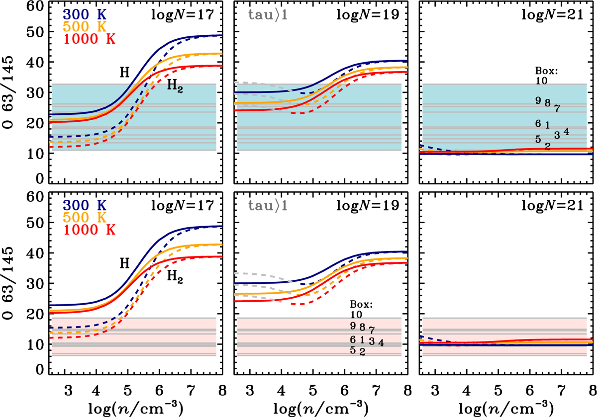
Ratio of line fluxes of [O I] 63.18 to 145.53 μm as a function of the logarithm of hydrogen density. The lines show non-LTE radiative-transfer models for gas kinetic temperatures of 300 K (blue), 500 K (orange), and 1000 K (red), assuming collisions with atomic (solid lines) and molecular hydrogen (dashed lines). The models are calculated for oxygen column densities of 1017 cm−2 (left), 1019 cm−2 (center) and 1021 cm−2 (right). The observations corrected for absorption in the [O I] 63.18 μm line are shown as light blue boxes (top panel), and the uncorrected ones as pink boxes (bottom panel). The horizontal gray lines indicate ratios for specific boxes along the DR21 outflow.

Current usage metrics show cumulative count of Article Views (full-text article views including HTML views, PDF and ePub downloads, according to the available data) and Abstracts Views on Vision4Press platform.

Data correspond to usage on the plateform after 2015. The current usage metrics is available 48-96 hours after online publication and is updated daily on week days.

Initial download of the metrics may take a while.