Open Access

Fig. 15

image

Download original image

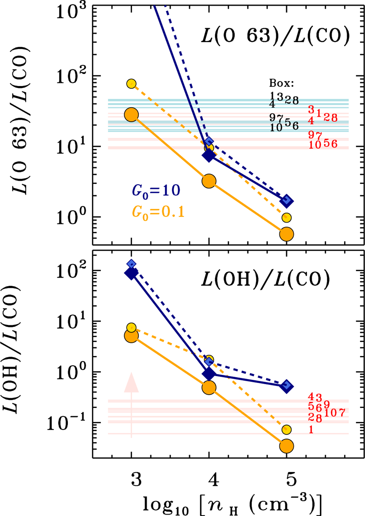
Ratio of the [O I] 63.18 μm to CO luminosities (top) and the OH to CO luminosities (bottom) as a function of pre-shock velocity for UV irradiated C-shock models and observations of DR21 Main. All models correspond to UV fields parameterized by G0 of 10 (in blue) and 0.1 (in orange). The solid lines connect models with shock velocities vs of 20 km s−1, and the dashed lines the models with vs of 10 km s−1. Observations for specific boxes along the DR21 outflow are shown as horizontal lines; the measurements from FIFI-LS are shown in pink, which in the case of OH include only the 163.13 μm line providing a lower limit for the ratio. The oxygen luminosities corrected for absorption are shown as light blue lines.

Current usage metrics show cumulative count of Article Views (full-text article views including HTML views, PDF and ePub downloads, according to the available data) and Abstracts Views on Vision4Press platform.

Data correspond to usage on the plateform after 2015. The current usage metrics is available 48-96 hours after online publication and is updated daily on week days.

Initial download of the metrics may take a while.