Open Access

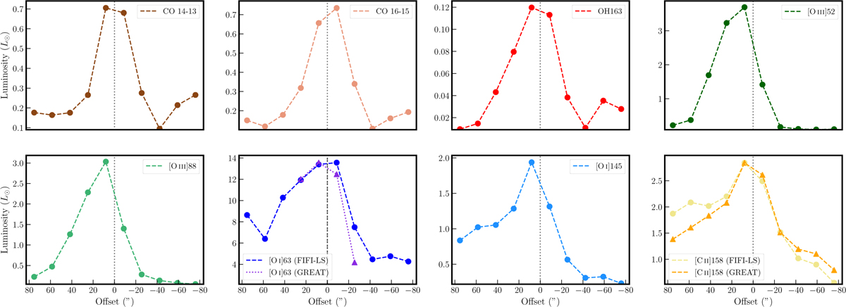
Fig. 7

image

Download original image

Luminosities of far-IR lines observed with FIFI-LS (dashed lines) and GREAT (dotted lines) along the major axis of the DR21 Main H2 outflow, integrated inside ten boxes of 16.5′′ × 50′′ each (the same boxes as in Fig. 5). The luminosities for [O I] 63.18 μm and [C II] 157.74 μm are normalized to the FIFI-LS maximum luminosity. The X-axis shows the offset from the adopted center of DR21 Main (20h39m00s93, +421942).

Current usage metrics show cumulative count of Article Views (full-text article views including HTML views, PDF and ePub downloads, according to the available data) and Abstracts Views on Vision4Press platform.

Data correspond to usage on the plateform after 2015. The current usage metrics is available 48-96 hours after online publication and is updated daily on week days.

Initial download of the metrics may take a while.