Open Access

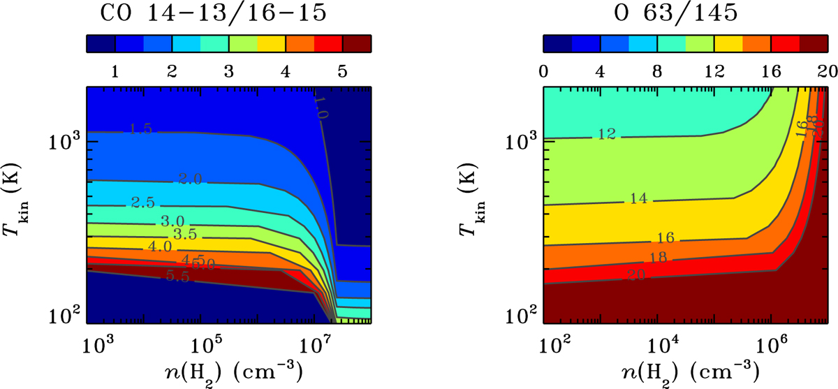
Fig. 8

image

Download original image

Ratio of line fluxes of two CO (left) to two [O I] lines (right) as a function of H2 density and kinetic temperature of the emitting gas derived from non-LTE excitation calculations. The assumed column densities of CO and atomic oxygen of 1017 cm−2 and line width of 40 km s−1 result in optically thin emission.

Current usage metrics show cumulative count of Article Views (full-text article views including HTML views, PDF and ePub downloads, according to the available data) and Abstracts Views on Vision4Press platform.

Data correspond to usage on the plateform after 2015. The current usage metrics is available 48-96 hours after online publication and is updated daily on week days.

Initial download of the metrics may take a while.