Open Access

Fig. 3.

image

Download original image

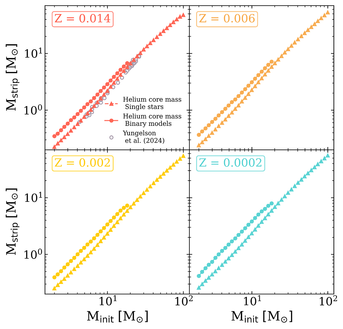
Relation between the initial mass (horizontal axis) and the eventual stripped star mass (vertical axis). The circular markers indicate the stripped star mass measured halfway through central helium burning from binary evolutionary modeling (see Sect. 2.1), while the triangular markers indicate the helium core mass at terminal age main sequence of single stars as defined in MESA. We note that our binary evolution grid does not extend above Minit > 20 M. For these massive stars, we instead represent stripped star masses with the helium core masses. The panels show models for different metallicity as labeled at the top of each panel. Gray circles show a subset of the stripped star models from Yungelson et al. (2024) that originate from mass transfer initiated during the Hertzsprung gap of the donor star.

Current usage metrics show cumulative count of Article Views (full-text article views including HTML views, PDF and ePub downloads, according to the available data) and Abstracts Views on Vision4Press platform.

Data correspond to usage on the plateform after 2015. The current usage metrics is available 48-96 hours after online publication and is updated daily on week days.

Initial download of the metrics may take a while.