Open Access

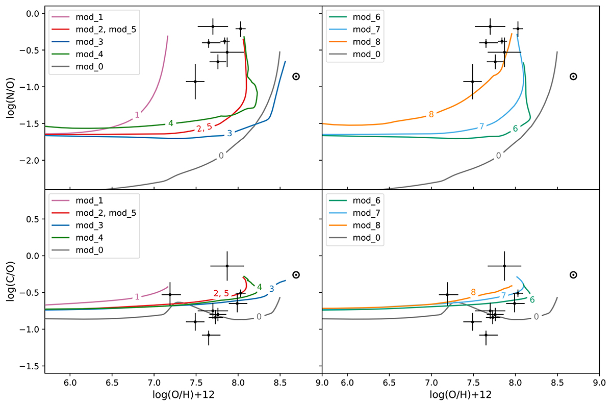
Fig. 3.

image

Download original image

Predicted N/O (top panels) and C/O (bottom panels) versus log(O/H)+12, for all models in Table 3. The black dots and associated error bars are JWST measurements from Marques-Chaves et al. (2024), Isobe et al. (2023), Senchyna et al. (2024), and Curti et al. (2025) (see Table 1).

Current usage metrics show cumulative count of Article Views (full-text article views including HTML views, PDF and ePub downloads, according to the available data) and Abstracts Views on Vision4Press platform.

Data correspond to usage on the plateform after 2015. The current usage metrics is available 48-96 hours after online publication and is updated daily on week days.

Initial download of the metrics may take a while.