Open Access

Fig. 2.

image

Download original image

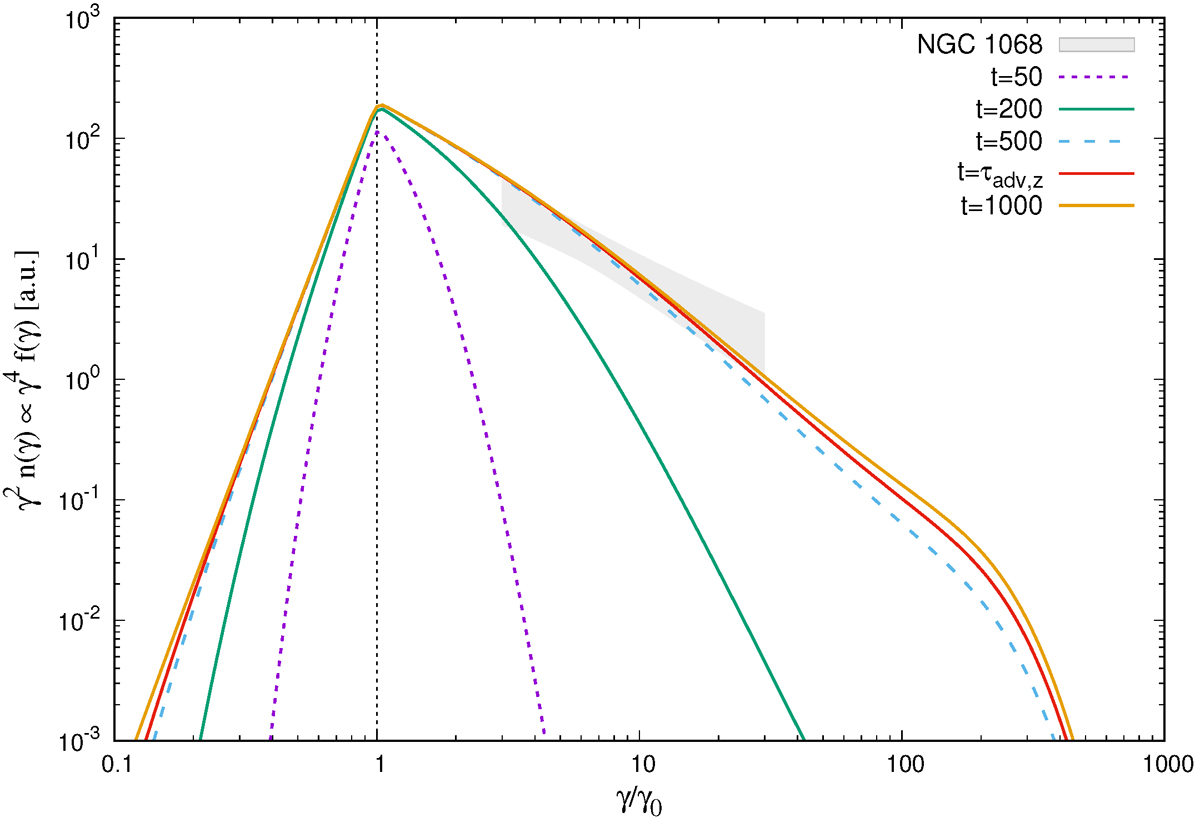
Exemplary time-dependent proton energy distribution obtained from jet-shear acceleration with a Fokker-Planck model assuming continuous injection of seed protons with γ0 = 104. As a result of advective escape, the predicted particle spectrum will appear somewhat softer (red, t = τadv, z) compared to the otherwise quasi steady-state distribution (yellow). The gray shaded region illustrates the spectral characteristics required to reproduce the neutrino emission for NGC 1068 as measured by IceCube.

Current usage metrics show cumulative count of Article Views (full-text article views including HTML views, PDF and ePub downloads, according to the available data) and Abstracts Views on Vision4Press platform.

Data correspond to usage on the plateform after 2015. The current usage metrics is available 48-96 hours after online publication and is updated daily on week days.

Initial download of the metrics may take a while.