Open Access

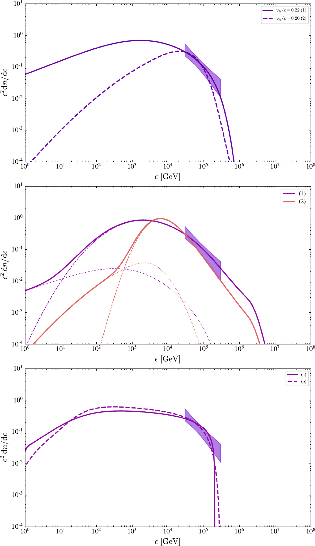
Fig. 3.

image

Download original image

Proton energy spectra dup/dlnϵ ≡ ϵ2 dn/dϵ vs. proton energy ϵ for three characteristic scenarios described in the text. For each panel, the energy density distribution is shown in units of the background plasma pressure. Top panel: Stochastic acceleration in the turbulent corona, with a characteristic Alfvénic velocity vA ≃ 0.2 c (see text for details), for model (1) and (2), corresponding to the solid and dashed lines, respectively. Middle panel: Combination of stochastic acceleration in the corona with shear acceleration at the base of the jet (see text for the details of the physical parameters). The stochastic contribution is indicated by dotted lines, the shear contribution by dashed lines, and the sum of the two by solid lines. The different colors correspond to models (1) and (2). For the top and middle panels, the normalization of the energy density in accelerated particles has been fixed in order to reproduce the inferred proton flux. Bottom panel: Modeling of stochastic acceleration, accounting for self-regulation by particle feedback on the turbulence (damping), for a characteristic Alfvén velocity vA ≃ 0.2 c. The plasma β parameter is 0.5 (see Appendix A).

Current usage metrics show cumulative count of Article Views (full-text article views including HTML views, PDF and ePub downloads, according to the available data) and Abstracts Views on Vision4Press platform.

Data correspond to usage on the plateform after 2015. The current usage metrics is available 48-96 hours after online publication and is updated daily on week days.

Initial download of the metrics may take a while.