Open Access

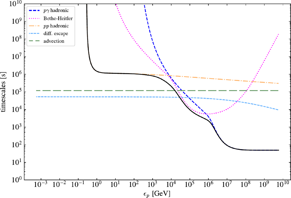
Fig. A.1.

image

Download original image

Energy losses for: Ldisk = 5 × 1044 erg/s, LX = 0.8 × 1044 erg/s, ΓX = 1.95, ϵX,max = 128 keV, rco = 30 rg, rg = 2.35 × 1012M7.2 cm, B = 103 G, np = 2 × 109 cm−3. The diffusive escape time is shown for vA = 0.2 c, while the advection time assumes vadv = 0.02 c (as expected for the radial inflow velocity at rco with viscosity parameter α = 0.1).

Current usage metrics show cumulative count of Article Views (full-text article views including HTML views, PDF and ePub downloads, according to the available data) and Abstracts Views on Vision4Press platform.

Data correspond to usage on the plateform after 2015. The current usage metrics is available 48-96 hours after online publication and is updated daily on week days.

Initial download of the metrics may take a while.