Open Access

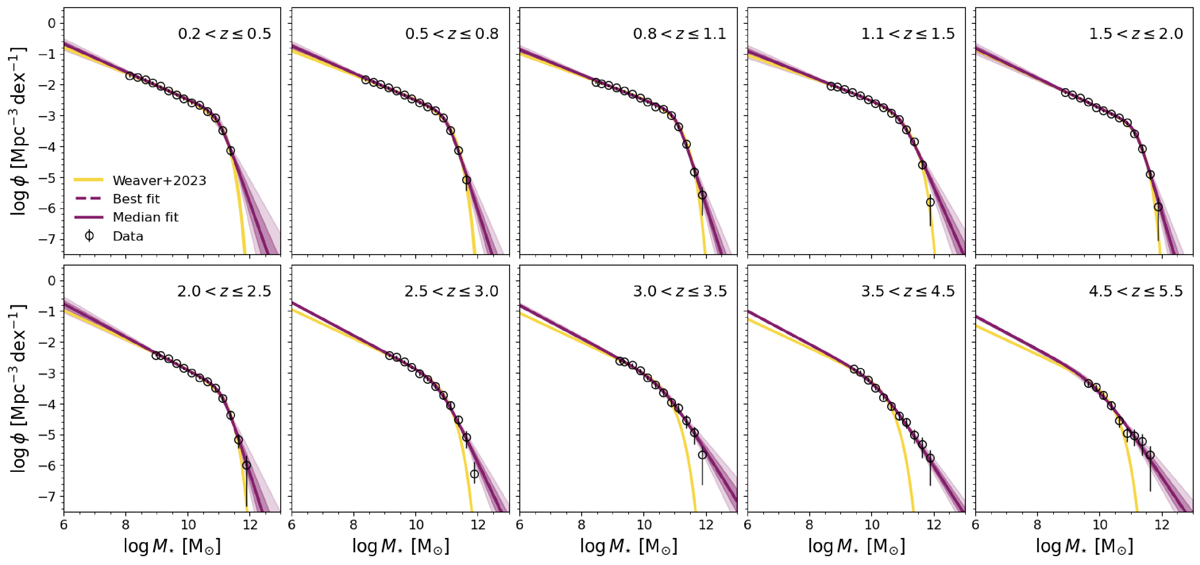
Fig. A.2.

image

Download original image

Same as Fig. A.1 but for the observed SMFs for SFGs of W23 in different redshift bins. Our fits (purple lines) are compared to the results of W23 (gold curves) for the double (z < 3) and single (z > 3) Schechter model. Points are the observed SMFs for SFGs of W23.

Current usage metrics show cumulative count of Article Views (full-text article views including HTML views, PDF and ePub downloads, according to the available data) and Abstracts Views on Vision4Press platform.

Data correspond to usage on the plateform after 2015. The current usage metrics is available 48-96 hours after online publication and is updated daily on week days.

Initial download of the metrics may take a while.