Open Access

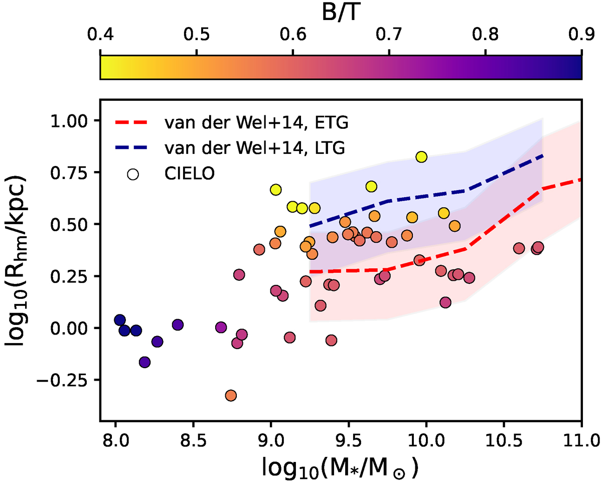
Fig. 10.

image

Download original image

Mass-size relation for the CIELO galaxies defined by the stellar half-mass radius, Rhm, as a function of the B/T ratio. More disc-dominated galaxies have larger sizes at a given stellar mass as expected. The median observed trends for late-type (LTG; dashed blue lines) and early-type galaxies (ETG; dashed red lines) reported by van der Wel et al. (2014) are shown (shaded regions are determined by the 25–75th percentiles (LOESS).

Current usage metrics show cumulative count of Article Views (full-text article views including HTML views, PDF and ePub downloads, according to the available data) and Abstracts Views on Vision4Press platform.

Data correspond to usage on the plateform after 2015. The current usage metrics is available 48-96 hours after online publication and is updated daily on week days.

Initial download of the metrics may take a while.