Open Access

Fig. C.1

image

Download original image

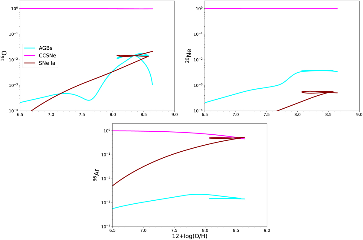
Cumulative fraction of the contribution of different types of stars to 16O, 20Ne, and 36Ar (the most abundant stable isotopes of each element) enrichment as a function of 12+log(O/H) predicted by the chemical evolution model of Medina-Amayo (2023). Cyan line: asymptotic giant branch stars (AGBs); dark red line: type Ia supernovae (SNe Ia); magenta line: core collapse supernovae (CCSNe).

Current usage metrics show cumulative count of Article Views (full-text article views including HTML views, PDF and ePub downloads, according to the available data) and Abstracts Views on Vision4Press platform.

Data correspond to usage on the plateform after 2015. The current usage metrics is available 48-96 hours after online publication and is updated daily on week days.

Initial download of the metrics may take a while.