Open Access

Fig. 6

image

Download original image

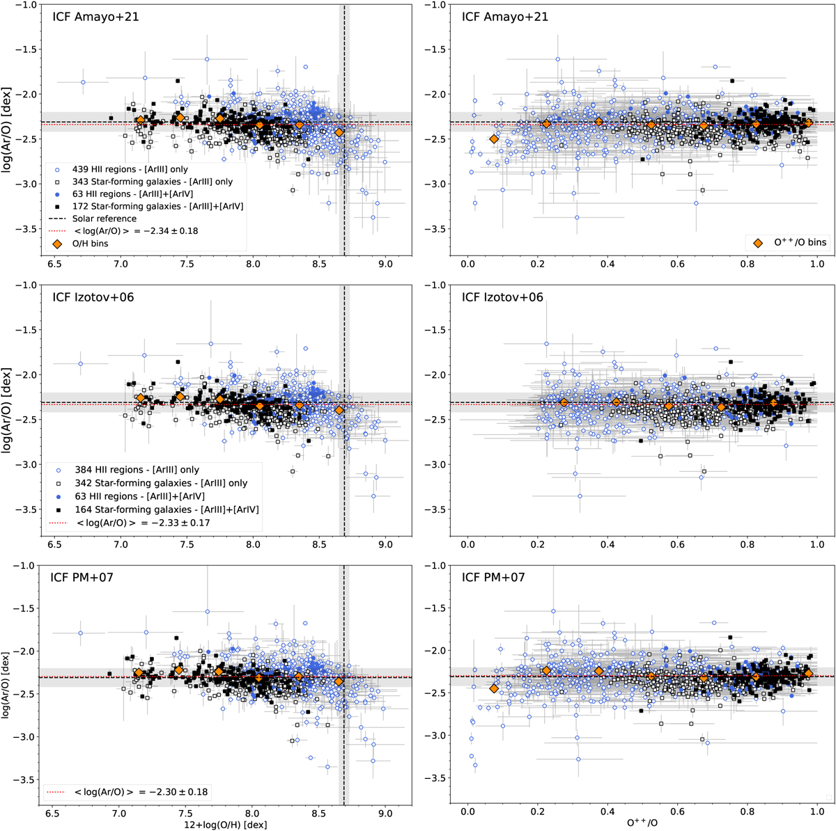
Log(Ar/O) as a function of 12+log(O/H) (left) and the ionisation degree, O2+/O (right), for the DESIRED-E H II regions (blue circles) or SFGs (black squares) having only Ar2+ (empty symbols) or Ar2+ and Ar3+ abundances (full symbols). Panels in the same row of the figure represent log(Ar/O) calculated using the ICF(Ar) scheme of Amayo et al. (2021, top panels), Izotov et al. (2006, middle panels) and Pérez-Montero et al. (2007, bottom panels). The dotted red line represents the mean value of log(Ar/O) obtained using each ICF(Ar). The orange diamonds indicate the mean log(Ar/O) values defined by all the points represented considering bins in 12+log(O/H) or O2+/O. The black dashed lines and the grey bands show the solar 12+log(O/H) and log(Ar/O) and their associated uncertainties, respectively, from Asplund et al. (2021).

Current usage metrics show cumulative count of Article Views (full-text article views including HTML views, PDF and ePub downloads, according to the available data) and Abstracts Views on Vision4Press platform.

Data correspond to usage on the plateform after 2015. The current usage metrics is available 48-96 hours after online publication and is updated daily on week days.

Initial download of the metrics may take a while.