Open Access

Fig. 3

image

Download original image

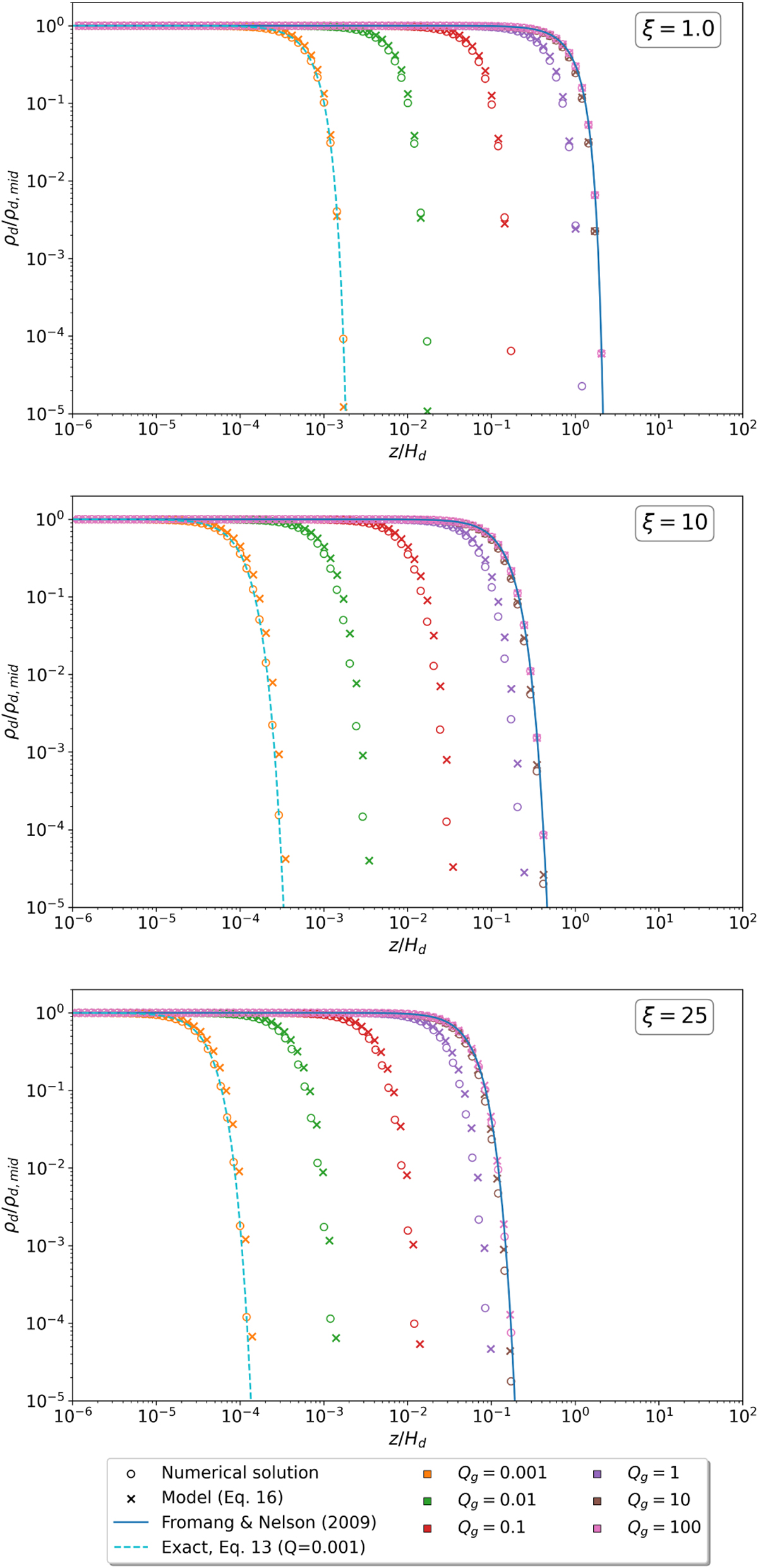
Vertical profile of dust density for different gas Toomre parameters, Qg, and relative dust temperature, ξ. Specifically, we compare the numerical solution with our model Eq. (16). Additionally, we added the limiting cases of the Fromang and Nelson profile, which is valid in the absence of SG, and the exact solution that we derived (Eq. (13)), which is valid for massive gas discs.

Current usage metrics show cumulative count of Article Views (full-text article views including HTML views, PDF and ePub downloads, according to the available data) and Abstracts Views on Vision4Press platform.

Data correspond to usage on the plateform after 2015. The current usage metrics is available 48-96 hours after online publication and is updated daily on week days.

Initial download of the metrics may take a while.