Open Access

Fig. 2.

image

Download original image

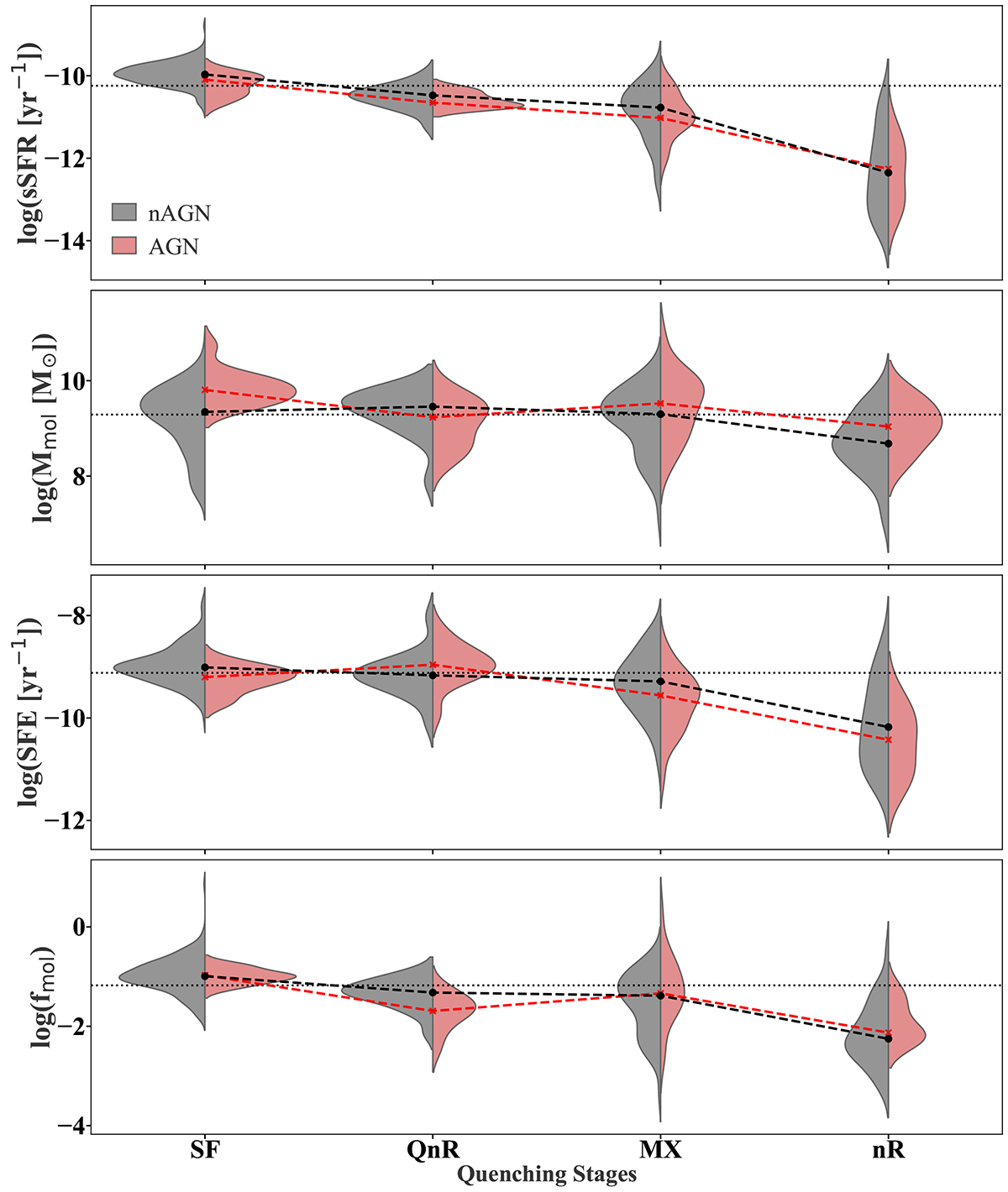
Violin plots of active (gray-shaded regions) and non-active (red-shaded regions) detected galaxies (S/N > 3) showing the variation of sSFR, Mmol, SFE, and fmol properties across all quenching stages hosting AGNs. The horizontal dotted black line represents the median value of the sample, and the dashed lines represent the median variation throughout the quenching stages depending on the nuclear activity.

Current usage metrics show cumulative count of Article Views (full-text article views including HTML views, PDF and ePub downloads, according to the available data) and Abstracts Views on Vision4Press platform.

Data correspond to usage on the plateform after 2015. The current usage metrics is available 48-96 hours after online publication and is updated daily on week days.

Initial download of the metrics may take a while.