Open Access

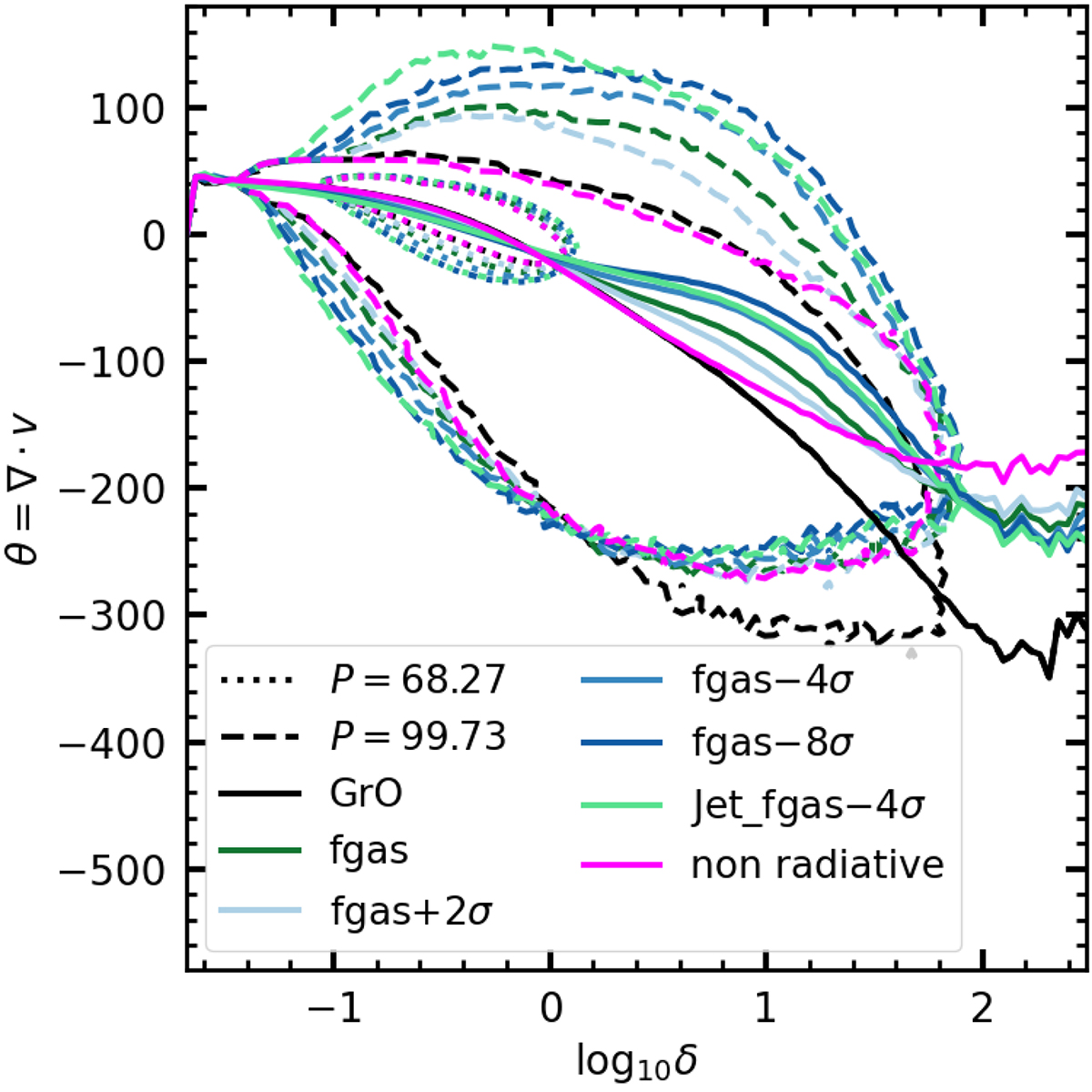
Fig. 3.

image

Download original image

Contours showing the correlation between velocity divergence and density contrast in the gravity-only (black lines) and gas in the hydrodynamic runs (coloured lines). Different FLAMINGO models are represented with different colours. The solid lines show the mean of the distribution, while the dotted and dashed lines define the 68.3 and 99.7 percentiles of the distribution, respectively.

Current usage metrics show cumulative count of Article Views (full-text article views including HTML views, PDF and ePub downloads, according to the available data) and Abstracts Views on Vision4Press platform.

Data correspond to usage on the plateform after 2015. The current usage metrics is available 48-96 hours after online publication and is updated daily on week days.

Initial download of the metrics may take a while.