Open Access

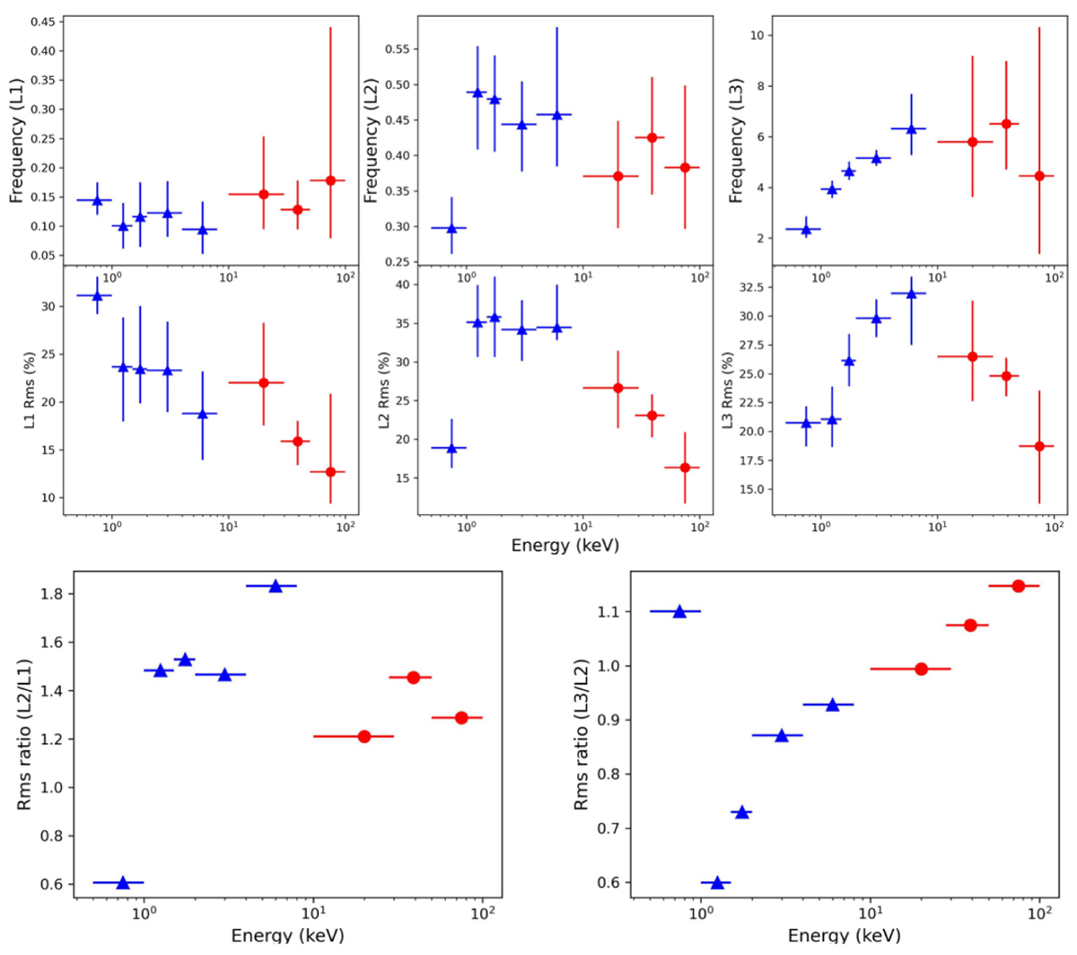
Fig. 8.

image

Download original image

Evolution of the frequency (top row), fractional rms (middle row) of the L1,L2, and L3 components, and the ratio of the fractional rms (bottom row) between L1 and L2 (left), L3 and L2 (right) with photon energy. The blue triangles and red points represent the NICER and Insight-HXMT data, respectively.

Current usage metrics show cumulative count of Article Views (full-text article views including HTML views, PDF and ePub downloads, according to the available data) and Abstracts Views on Vision4Press platform.

Data correspond to usage on the plateform after 2015. The current usage metrics is available 48-96 hours after online publication and is updated daily on week days.

Initial download of the metrics may take a while.