Open Access

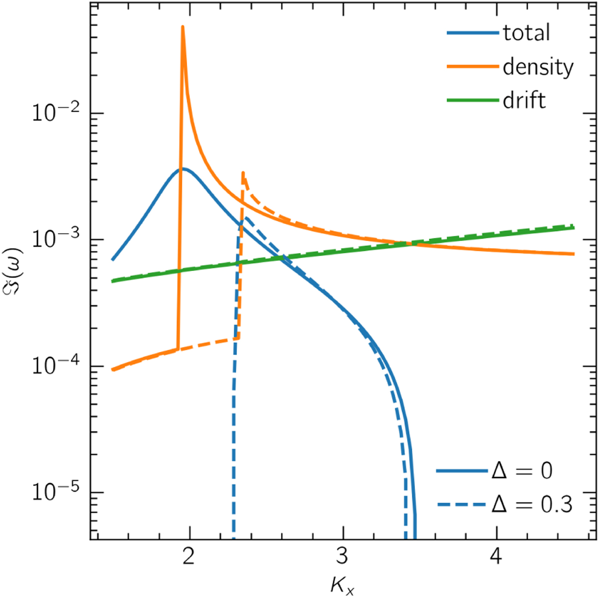
Fig. 3

image

Download original image

Growth rate, in units of Ω−1, at Kz = 0.8, for the monodisperse case of Fig. 1 (solid curves) and the polydisperse case of Fig. 2 (dashed curves). Yellow curves: contribution of dust-density perturbation to the growth rate. Green curves: contribution of relative velocity perturbation to the growth rate (absolute contribution, since it is a stabilising effect). Blue curves: total growth rate.

Current usage metrics show cumulative count of Article Views (full-text article views including HTML views, PDF and ePub downloads, according to the available data) and Abstracts Views on Vision4Press platform.

Data correspond to usage on the plateform after 2015. The current usage metrics is available 48-96 hours after online publication and is updated daily on week days.

Initial download of the metrics may take a while.