Open Access

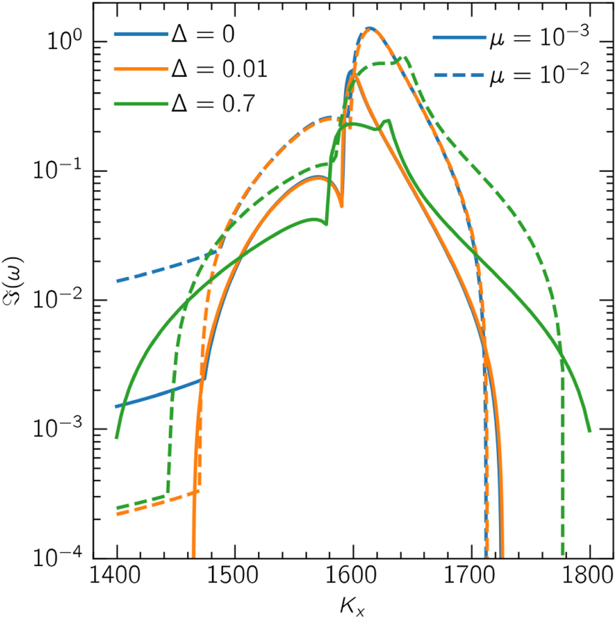
Fig. 9

image

Download original image

Growth rates for DSI at z0 = H, St0 = 0.1 and Kz = 100. Different colours indicate different widths of the size distribution, and we consider μ = 10−3 (solid curves) and μ = 10−2 (dashed curves). The location of the double resonance in the monodisperse regime, in the limit μ = 0 and St → 0, is at Kx ≈ 1580.

Current usage metrics show cumulative count of Article Views (full-text article views including HTML views, PDF and ePub downloads, according to the available data) and Abstracts Views on Vision4Press platform.

Data correspond to usage on the plateform after 2015. The current usage metrics is available 48-96 hours after online publication and is updated daily on week days.

Initial download of the metrics may take a while.