Open Access

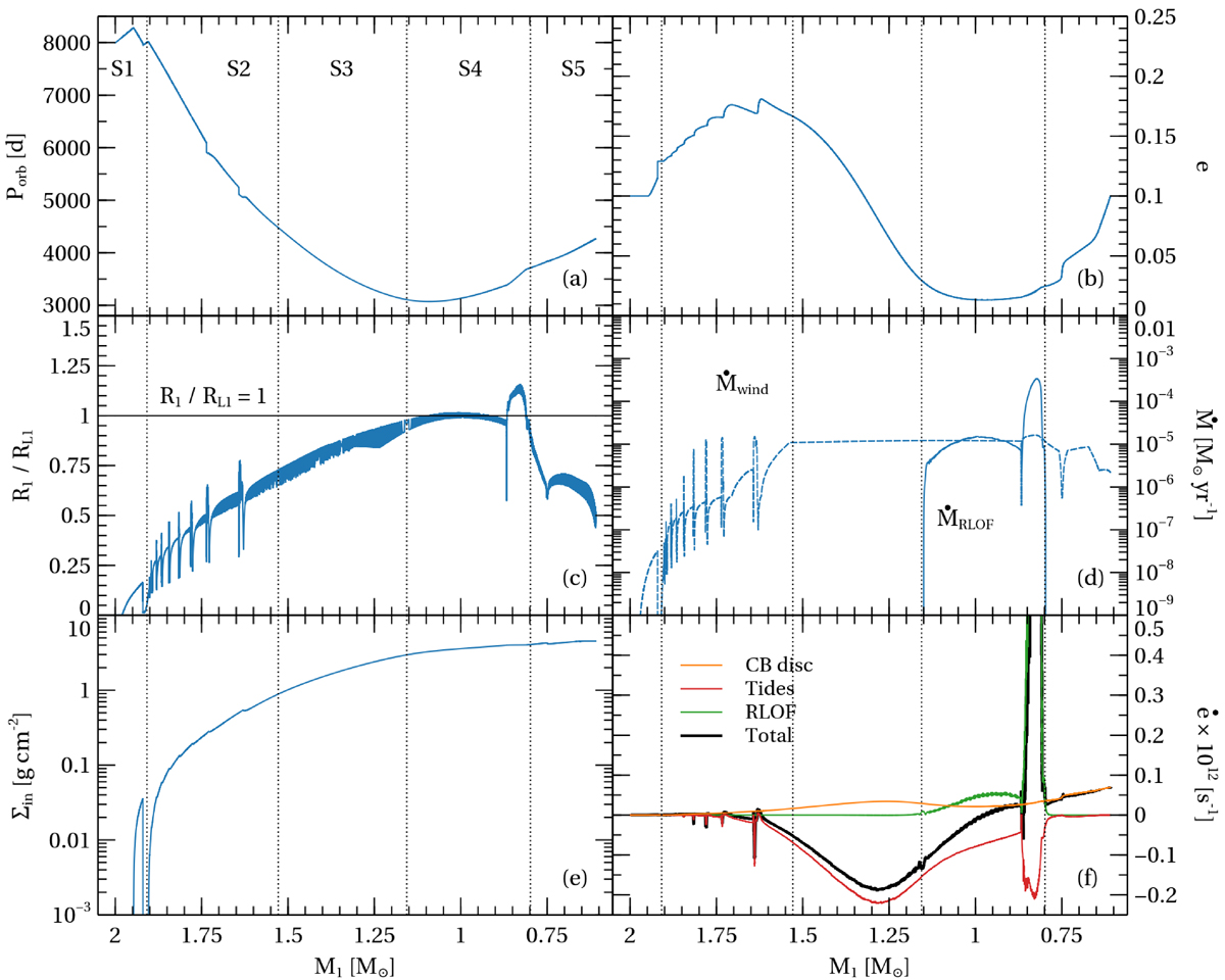
Fig. 5.

image

Download original image

Evolution of a 2.0+1.0 M binary with initial period Pi = 8000 d and eccentricity ei = 0.1 using the parameter set AV6. We present, as a function of the primary mass M1, (a) the orbital period, Porb; (b) the eccentricity e; (c) the Roche-filling factor R 1 / R L 1 $ R_1/R_{{{L_1}}} $; (d) the primary mass loss rates from the wind M ˙ wind $ {\dot {M}}_{{\textrm {wind}}} $ (dashed curve) and RLOF M ˙ RLOF $ {\dot {M}}_{{\textrm {RLOF}}} $ (solid curve); (e) the surface density at the CB disk's inner rim, Σin; (f) the change in the orbital eccentricity ė (black curve), which is decomposed into contributions from the CB disk (orange), tides (red), RLOF (green). The evolution of the system is divided into different stages, labeled S1–S5, and separated by the vertical black dotted lines.

Current usage metrics show cumulative count of Article Views (full-text article views including HTML views, PDF and ePub downloads, according to the available data) and Abstracts Views on Vision4Press platform.

Data correspond to usage on the plateform after 2015. The current usage metrics is available 48-96 hours after online publication and is updated daily on week days.

Initial download of the metrics may take a while.