Open Access

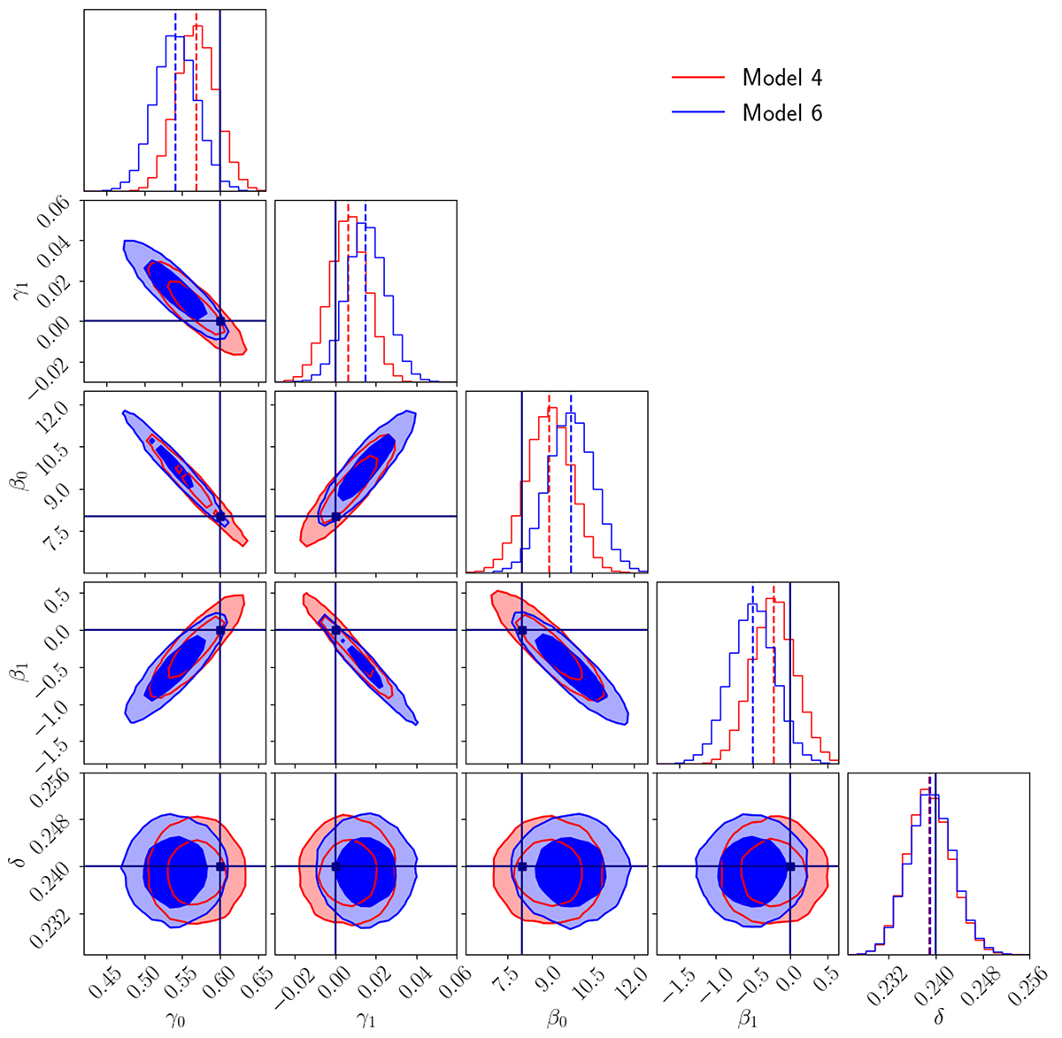
Fig. 11.

image

Download original image

Results of the cosmological fit for sample 1 in a spatially flat ΛCDM with matter and energy density parameters fixed to the values ΩM = 0.3 and ΩΛ = 0.7 (red, model 4 in Table 1), and ΩM = 0.9 and ΩΛ = 0.1 (blue, model 6 in Table 1). The slope and intercept are assumed to evolve with redshift as γ(z) = γ0 + γ1(1 + z) and β(z) = β0 + β1(1 + z). Contours are at 68% and 95% confidence levels. The input values of all the correlation parameters are marked by the black square. See Section 6.2 for details.

Current usage metrics show cumulative count of Article Views (full-text article views including HTML views, PDF and ePub downloads, according to the available data) and Abstracts Views on Vision4Press platform.

Data correspond to usage on the plateform after 2015. The current usage metrics is available 48-96 hours after online publication and is updated daily on week days.

Initial download of the metrics may take a while.