Open Access

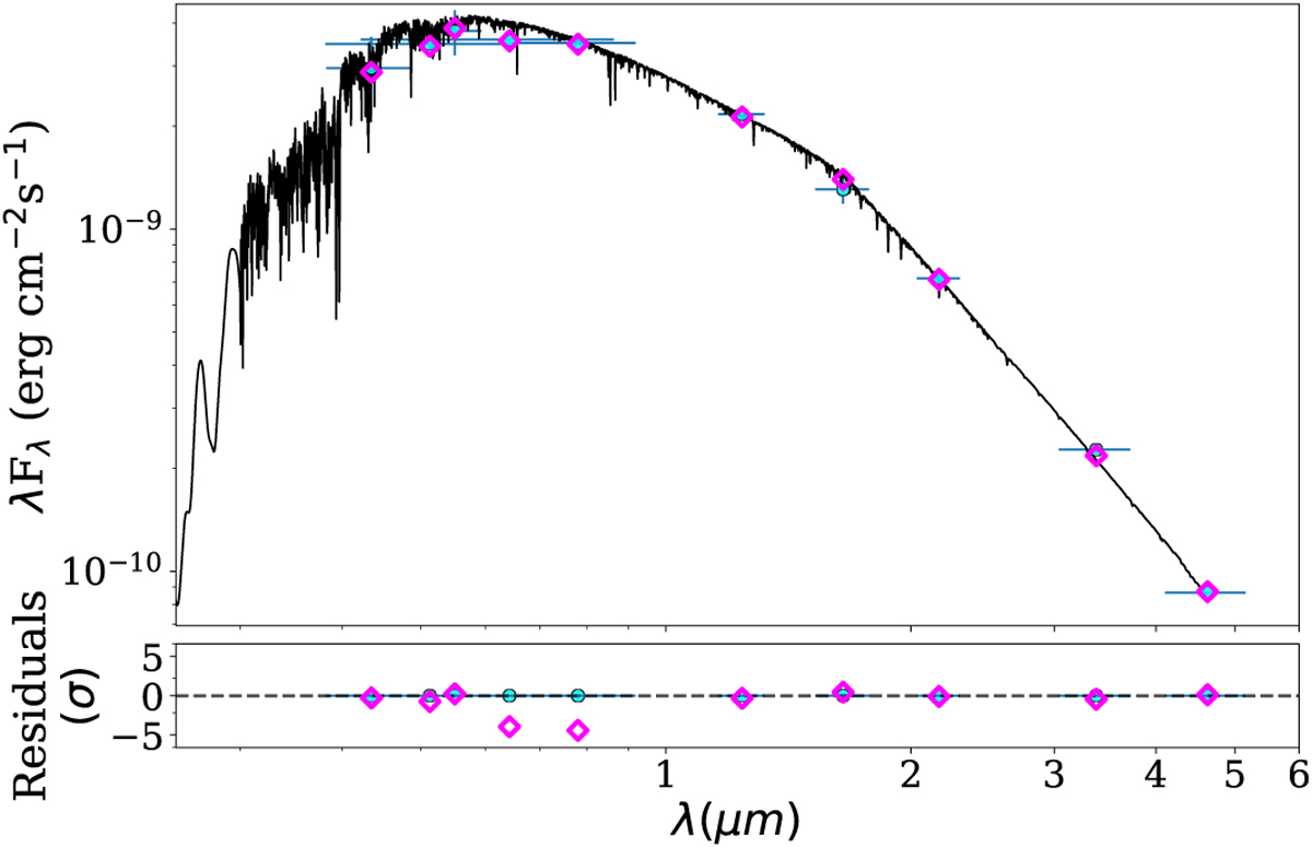
Fig. 1

image

Download original image

Spectral energy distribution of TOI-3493 and the best-fitting model (Phoenix v2, Husser et al. 2013) with the ARIADNE software. The magenta diamonds mark the synthetic photometry, while the observed photometry is shown in blue points. The vertical error bars are the 1 σ uncertainties of the magnitudes, and the horizontal bars are the effective width of the photometric passbands. The lower panel shows the residuals normalized to the errors of the photometry; hence, the largest relative errors are from Gaia DR3.

Current usage metrics show cumulative count of Article Views (full-text article views including HTML views, PDF and ePub downloads, according to the available data) and Abstracts Views on Vision4Press platform.

Data correspond to usage on the plateform after 2015. The current usage metrics is available 48-96 hours after online publication and is updated daily on week days.

Initial download of the metrics may take a while.