Open Access

Fig. 19

image

Download original image

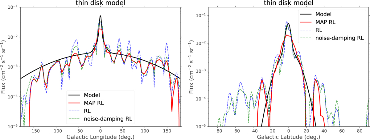
Reconstructed 0.511 MeV fluxes along the Galactic longitude (left) and latitude (right). When plotting the model line, the flux from the point source in Table 1 is blurred with the pixel size of the image (∼3.7 degrees).

Current usage metrics show cumulative count of Article Views (full-text article views including HTML views, PDF and ePub downloads, according to the available data) and Abstracts Views on Vision4Press platform.

Data correspond to usage on the plateform after 2015. The current usage metrics is available 48-96 hours after online publication and is updated daily on week days.

Initial download of the metrics may take a while.