Open Access

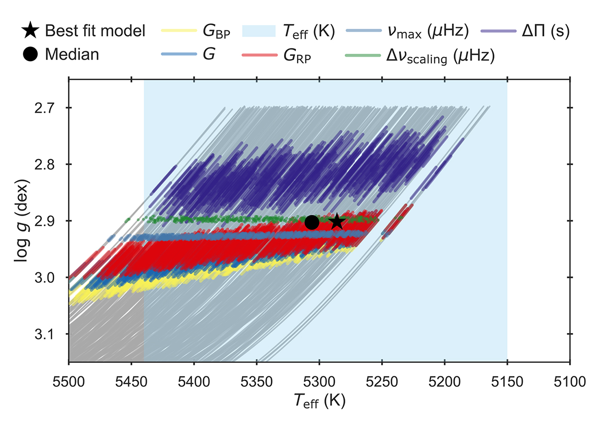
Fig. C.1.

image

Download original image

Kiel diagram of Hennes for a fit to the global asteroseismic parameters, displaying a representative number of stellar tracks in the grid. The observed constraints on the fitted parameters are overlaid to show a clear lack of overlap with the median and BFM from the posterior.

Current usage metrics show cumulative count of Article Views (full-text article views including HTML views, PDF and ePub downloads, according to the available data) and Abstracts Views on Vision4Press platform.

Data correspond to usage on the plateform after 2015. The current usage metrics is available 48-96 hours after online publication and is updated daily on week days.

Initial download of the metrics may take a while.