Open Access

Fig. 5

image

Download original image

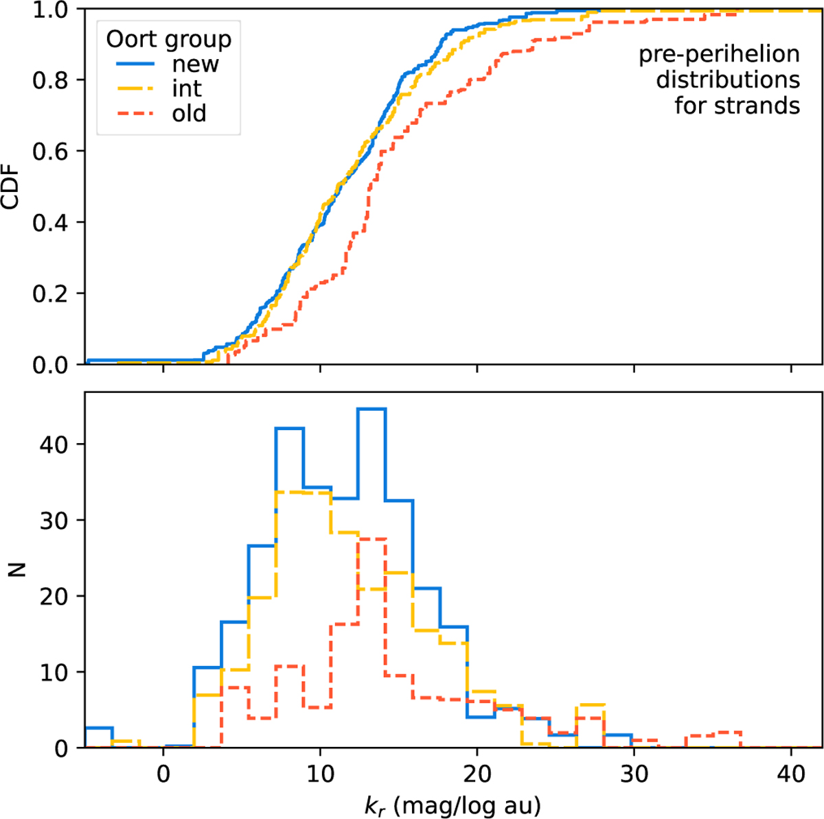
Cumulative probability distributions (top) and histograms (bottom) of the kr brightening parameter for pre-perihelion strands, by Oort group. Shown are averages of Ni = 100 debiased strand sample distributions (see text for details). Histogram counts were rescaled so that they add up to the actual number of pre-perihelion strands measured.

Current usage metrics show cumulative count of Article Views (full-text article views including HTML views, PDF and ePub downloads, according to the available data) and Abstracts Views on Vision4Press platform.

Data correspond to usage on the plateform after 2015. The current usage metrics is available 48-96 hours after online publication and is updated daily on week days.

Initial download of the metrics may take a while.