Open Access

Fig. 1.

image

Download original image

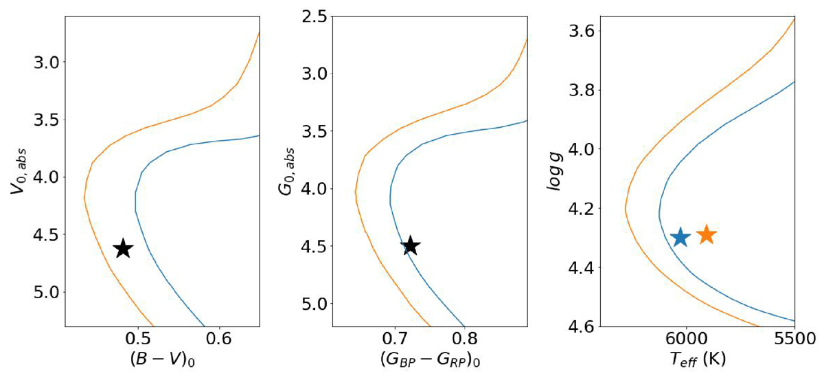
Left and middle panels: V vs. (B − V) and Gaia G vs. (GBP − GRP) colour-magnitude diagrams (CMDs). Right panel: Kiel diagram, log g vs. Teff. Star BPM 3066 is indicated by the filled star. In the right panel, the orange star is for the parameters we adopt here, while the blue one is for the GALAH BSTEP parameters. In all panels, two PARSEC isochrones of metallicity and ages ([M/H], Age) = (−0.71, 11.7) and (−1.26, 13.0) are shown in blue and orange, respectively.

Current usage metrics show cumulative count of Article Views (full-text article views including HTML views, PDF and ePub downloads, according to the available data) and Abstracts Views on Vision4Press platform.

Data correspond to usage on the plateform after 2015. The current usage metrics is available 48-96 hours after online publication and is updated daily on week days.

Initial download of the metrics may take a while.