Open Access

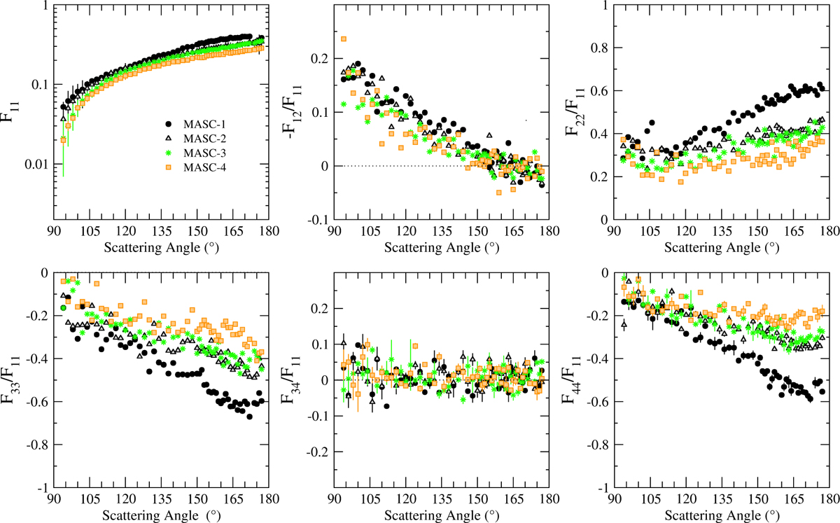
Fig. 5

image

Download original image

Measured scattering matrix elements as a function of the scattering angle for MASC-1 (black dots), MASC-2 (gray triangles), MASC-3 (green stars), and MASC-4 (orange squares). The F11 curves are normalized to their corresponding albedo at 170 degrees (see Table 3).

Current usage metrics show cumulative count of Article Views (full-text article views including HTML views, PDF and ePub downloads, according to the available data) and Abstracts Views on Vision4Press platform.

Data correspond to usage on the plateform after 2015. The current usage metrics is available 48-96 hours after online publication and is updated daily on week days.

Initial download of the metrics may take a while.