Open Access

Fig. 2.

image

Download original image

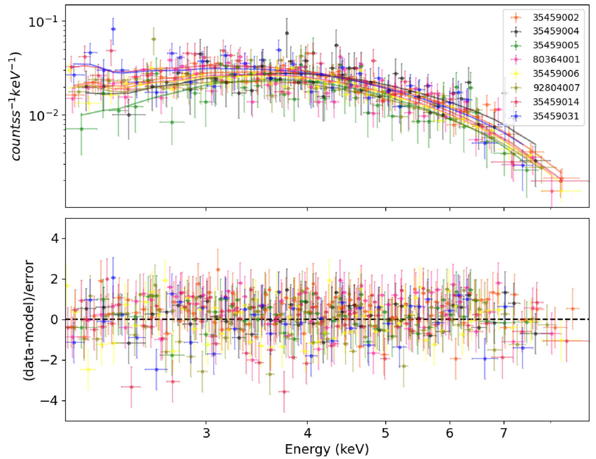
Swift-XRT best-fitted spectra (top panel) with phabs * zphabs * (zpo) and the residuals (bottom panel) in the 2–9 keV band showing no significant spectral variation over years of observations.

Current usage metrics show cumulative count of Article Views (full-text article views including HTML views, PDF and ePub downloads, according to the available data) and Abstracts Views on Vision4Press platform.

Data correspond to usage on the plateform after 2015. The current usage metrics is available 48-96 hours after online publication and is updated daily on week days.

Initial download of the metrics may take a while.