Open Access

Fig. 7.

image

Download original image

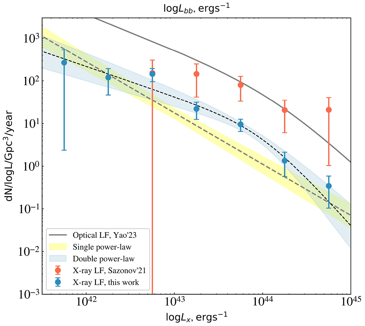
TDE XLF function in 0.2–6.0 keV. The blue points show the function obtained in this work, and the gray dashed line with the yellow region denotes its best fit with a power law (see Eq. (2)); the blue region with a black dashed line shows the best fit with a double power law (see Eq. (3)). The orange points show the TDE XLF for eROSITA_RU from Sazonov et al. (2021). The solid gray line shows the double power-law fit of a TDE optical luminosity function from Yao et al. (2023).

Current usage metrics show cumulative count of Article Views (full-text article views including HTML views, PDF and ePub downloads, according to the available data) and Abstracts Views on Vision4Press platform.

Data correspond to usage on the plateform after 2015. The current usage metrics is available 48-96 hours after online publication and is updated daily on week days.

Initial download of the metrics may take a while.