Open Access

Fig. 3.

image

Download original image

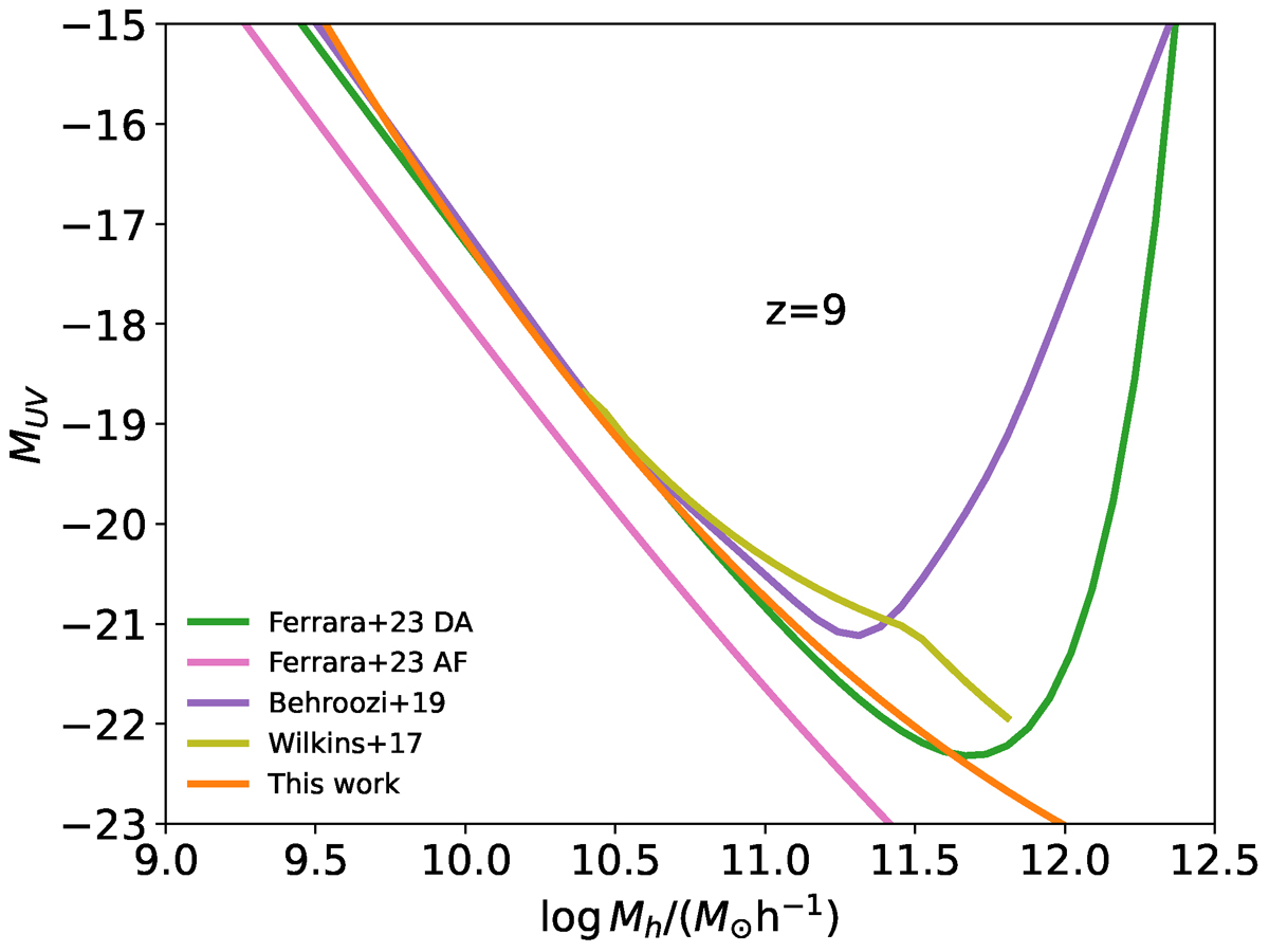
Ultraviolet magnitude (MUV) as a function of Mh at z = 9 within different models. The relation in this work is obtained via a fit of the LF (see Eq. 4 for the functional form and Eq. 5 for the parameters). For comparison, we report MUV(Mh) from the semi-analytical model of Ferrara et al. (2023, in the dust-attenuated, DA, and attenuation-free, AF, cases), from the abundance-matching based procedure of Behroozi et al. (2019) and results from the BlueTides hydrodynamical simulations (Wilkins et al. 2017).

Current usage metrics show cumulative count of Article Views (full-text article views including HTML views, PDF and ePub downloads, according to the available data) and Abstracts Views on Vision4Press platform.

Data correspond to usage on the plateform after 2015. The current usage metrics is available 48-96 hours after online publication and is updated daily on week days.

Initial download of the metrics may take a while.