Open Access

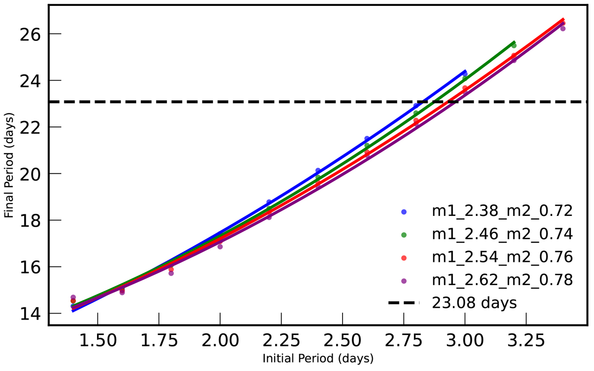
Fig. 5.

image

Download original image

Relationship between final and initial orbital periods for binary systems with mass ratio q = 0.30. Polynomial fits are applied to the four datasets. The horizontal dashed black line represents a final orbital period of 23.08 days.

Current usage metrics show cumulative count of Article Views (full-text article views including HTML views, PDF and ePub downloads, according to the available data) and Abstracts Views on Vision4Press platform.

Data correspond to usage on the plateform after 2015. The current usage metrics is available 48-96 hours after online publication and is updated daily on week days.

Initial download of the metrics may take a while.