Open Access

Fig. 6.

image

Download original image

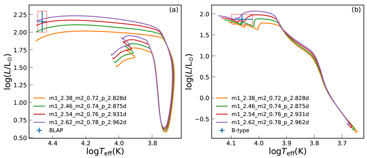
Evolutionary tracks on the HR diagram for binary systems with optimal initial orbital periods derived from polynomial fits. Panel a: Evolutionary paths of the primary stars from the ZAMS through the BLAP phase. Panel b: Corresponding evolutionary tracks of the secondary stars.

Current usage metrics show cumulative count of Article Views (full-text article views including HTML views, PDF and ePub downloads, according to the available data) and Abstracts Views on Vision4Press platform.

Data correspond to usage on the plateform after 2015. The current usage metrics is available 48-96 hours after online publication and is updated daily on week days.

Initial download of the metrics may take a while.