Open Access

Fig. 6.

image

Download original image

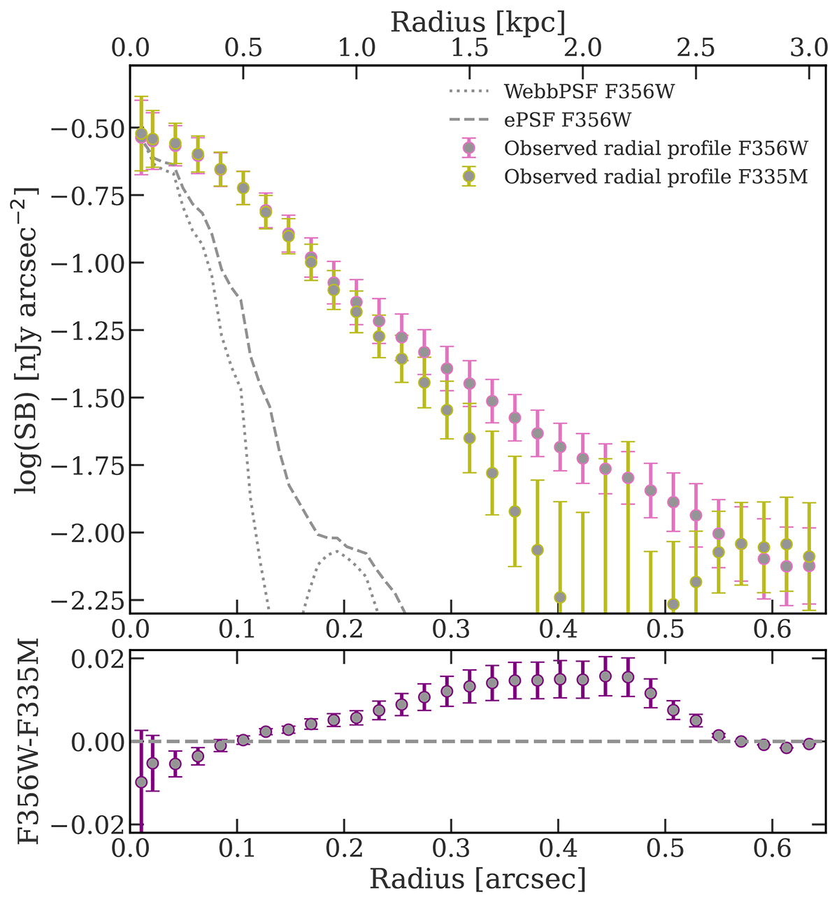
Upper panel: Surface brightness profile of JADES-GS8-RL-1. One can see a deviation between the radial profiles of F356W (containing [OII]) and F335M (which does not) at 0.2 to 0.5 arcsec, which is consistent with the expelled weakly ionised gas scenario. Lower panel: Difference between the two radial profiles versus wavelength.

Current usage metrics show cumulative count of Article Views (full-text article views including HTML views, PDF and ePub downloads, according to the available data) and Abstracts Views on Vision4Press platform.

Data correspond to usage on the plateform after 2015. The current usage metrics is available 48-96 hours after online publication and is updated daily on week days.

Initial download of the metrics may take a while.