Open Access

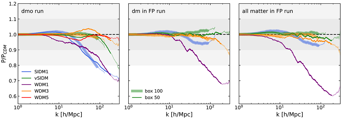
Fig. 17.

image

Download original image

Matter power spectrum in alternative models compared to the CDM scenario in the dark (left) and FP (middle and right) runs at z = 0. For each dark matter model, we plot the ratio to the CDM value in the range 1 h Mpc−1k≤300 h Mpc−1, corresponding to scales 1 h−1Mpc≥l≥0.003 h−1Mpc. At scales larger than 1 h−1Mpc, the power spectra are identical, indicating that the large-scale structure distribution is unaltered by ADM effects. Each dark matter model is represented by a different colour, while the thin (thick) lines show the results for the 50 (100) Mpc boxes.

Current usage metrics show cumulative count of Article Views (full-text article views including HTML views, PDF and ePub downloads, according to the available data) and Abstracts Views on Vision4Press platform.

Data correspond to usage on the plateform after 2015. The current usage metrics is available 48-96 hours after online publication and is updated daily on week days.

Initial download of the metrics may take a while.