Open Access

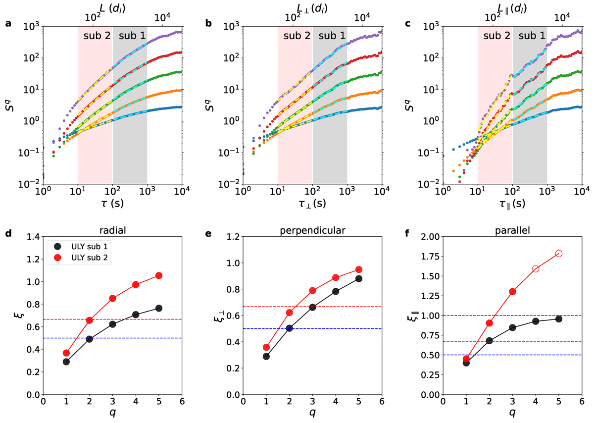
Fig. 2.

image

Download original image

Structure functions and scaling indices of magnetic field in the fast solar wind at 1.48 au observed by Ulysses. (a)–(c) Sq versus τ (bottom axis) and L (upper axis, in unit of the ion inertial length, di) measured in the radial direction, and in the directions perpendicular and parallel to the local magnetic field, respectively. The blue, orange, green, red, and purple represent Sq of order q = 1, 2, 3, 4, 5, respectively. The dashed yellow and cyan lines are power-law fits to Sq in subranges 1 and 2, shown with red and black shadows, respectively. (d)–(f) ξ(q), ξ(q), ξ(q). The black and red represent the results in subrange 1 and 2, respectively. The horizontal dashed lines denote ξ = 1/2, 2/3, 1, respectively. The standard errors of these indices are small and no larger than the size of the markers.

Current usage metrics show cumulative count of Article Views (full-text article views including HTML views, PDF and ePub downloads, according to the available data) and Abstracts Views on Vision4Press platform.

Data correspond to usage on the plateform after 2015. The current usage metrics is available 48-96 hours after online publication and is updated daily on week days.

Initial download of the metrics may take a while.