Open Access

Fig. 3.

image

Download original image

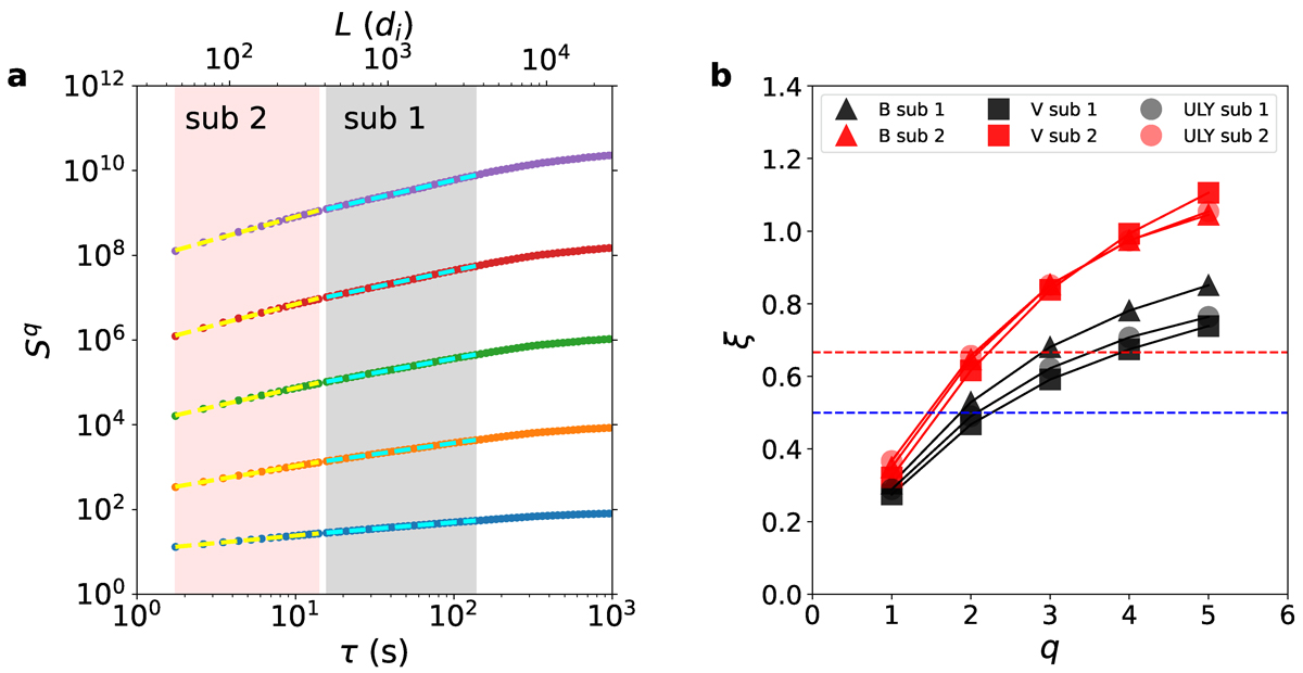
Structure functions and the scaling indices in the slow solar wind at 0.17 au observed by PSP. (a) Sq for the magnetic field measured in the radial direction with the same formats as Fig. 2. (b) ξ(q) for both the magnetic field (triangles) and velocity (squares) obtained from PSP and for the magnetic field (circles) obtained from Ulysses. The black and red represent the results in subrange 1 and 2, respectively. The horizontal dashed lines denote ξ = 1/2 and ξ = 2/3.

Current usage metrics show cumulative count of Article Views (full-text article views including HTML views, PDF and ePub downloads, according to the available data) and Abstracts Views on Vision4Press platform.

Data correspond to usage on the plateform after 2015. The current usage metrics is available 48-96 hours after online publication and is updated daily on week days.

Initial download of the metrics may take a while.