Open Access

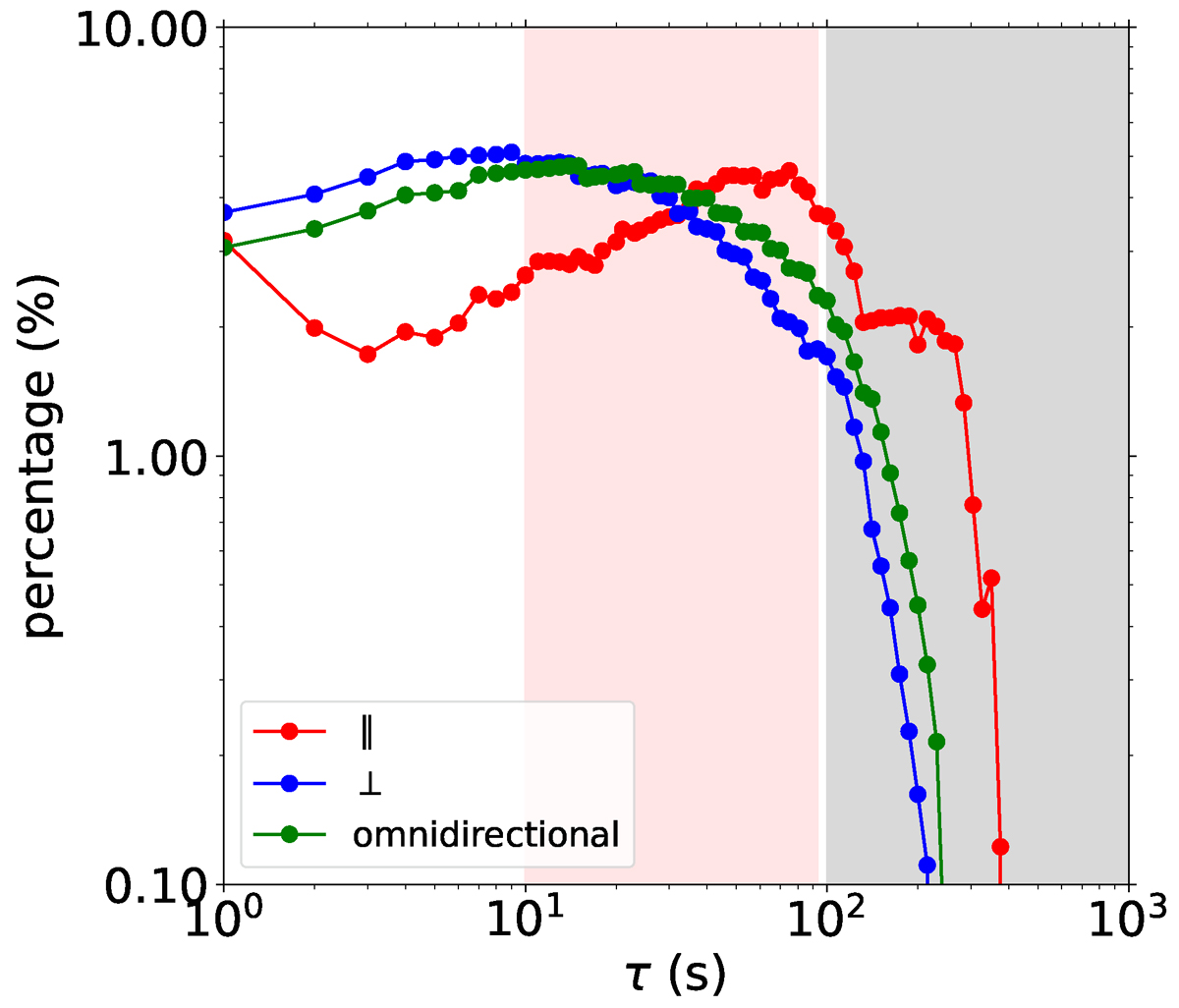
Fig. 7.

image

Download original image

Percentage of the intermittency for the Ulysses interval. Green, blue, and red represent the measurements in the radial direction, and in the directions perpendicular and parallel to the local magnetic field, respectively.

Current usage metrics show cumulative count of Article Views (full-text article views including HTML views, PDF and ePub downloads, according to the available data) and Abstracts Views on Vision4Press platform.

Data correspond to usage on the plateform after 2015. The current usage metrics is available 48-96 hours after online publication and is updated daily on week days.

Initial download of the metrics may take a while.