Open Access

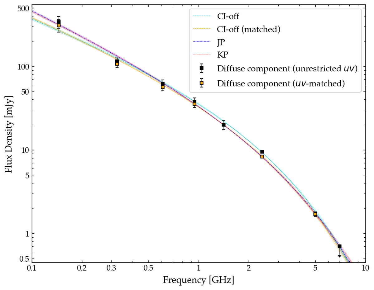
Fig. 10.

image

Download original image

Integrated SED for the diffuse radio emission associated with the IGrM of HCG15. The different curves trace the best-fit models for each injection and ageing model. We note that the best-fit ‘JP’ and ‘KP’ models are extremely similar.

Current usage metrics show cumulative count of Article Views (full-text article views including HTML views, PDF and ePub downloads, according to the available data) and Abstracts Views on Vision4Press platform.

Data correspond to usage on the plateform after 2015. The current usage metrics is available 48-96 hours after online publication and is updated daily on week days.

Initial download of the metrics may take a while.