Open Access

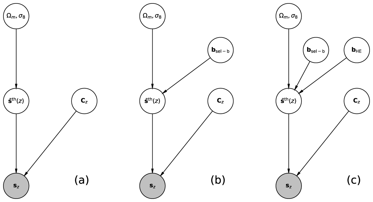
Fig. 16.

image

Download original image

Bayesian graph models representing the relation between the cosmological parameters (Ωm, S8), the mean sparsity model prediction at a given redshift ( s ¯ th $ \bar{\boldsymbol{s}}^{\mathrm{th}} $), the covariance among multiple sparsities at a given redshift (Cz, which reduces to the sparsity variance in the case of a single sparsity analysis), and the mean sparsity data (sz). Panel (a) show the simplest data model with no bias included with the posterior sample as given by Eq. (14), while the data model shown in panel (b) accounts for the selection-baryon bias as in Eq. (17), and that shown in panel (c) extend the model to the HE bias with the posterior given by Eq. (19).

Current usage metrics show cumulative count of Article Views (full-text article views including HTML views, PDF and ePub downloads, according to the available data) and Abstracts Views on Vision4Press platform.

Data correspond to usage on the plateform after 2015. The current usage metrics is available 48-96 hours after online publication and is updated daily on week days.

Initial download of the metrics may take a while.