Open Access

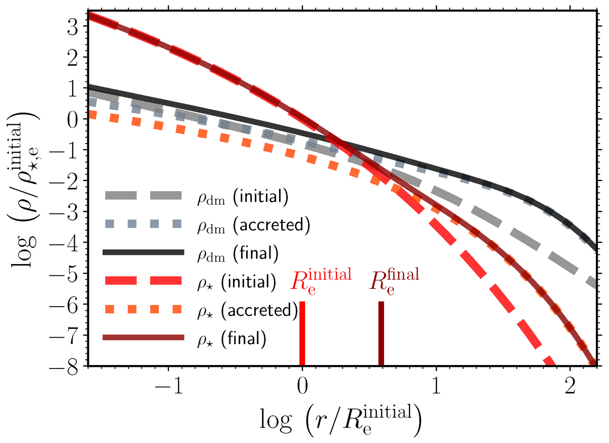
Fig. 3.

image

Download original image

Envelope accretion-driven evolution of the density distribution of a representative ETG. Initial (dashed curves), accreted (dotted curves), and final (solid curves) stellar (red curves) and DM (black and grey curves) density profiles of our reference model galaxy growing via envelope accretion. The vertical lines indicate the initial ( R e initial $ {R_{\mathrm{e}}^{\mathrm{initial}}} $) and final ( R e final $ {R_{\mathrm{e}}^{\mathrm{final}}} $) effective radii. ρ , e initial $ {\rho_{\mathrm{\star,e}}^{\mathrm{initial}}} $ is the initial stellar density at r = R e initial $ r={R_{\mathrm{e}}^{\mathrm{initial}}} $.

Current usage metrics show cumulative count of Article Views (full-text article views including HTML views, PDF and ePub downloads, according to the available data) and Abstracts Views on Vision4Press platform.

Data correspond to usage on the plateform after 2015. The current usage metrics is available 48-96 hours after online publication and is updated daily on week days.

Initial download of the metrics may take a while.