Open Access

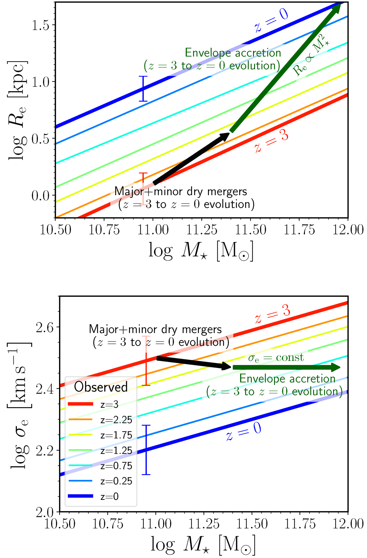
Fig. 4.

image

Download original image

ETG evolution in stellar mass, effective radius, and effective velocity dispersion, due to major and minor mergers, and envelope accretion. Same as Fig. 1, but with the addition of the potential contribution from z = 3 to z = 0 of envelope accretion (green arrows), that is diffuse accretion of loosely bound stellar systems such that Re varies with stellar mass as Re ∝ M2, while σe remains constant (see text). While the stellar mass growth attributed to major and minor mergers (black arrows) is based on observational estimates (Sect. 2.3), the stellar mass growth attributed to envelope accretion (green arrows) is chosen ad hoc so that in the upper panel the head of the green arrow lies on the observed z = 0 Re-M correlation.

Current usage metrics show cumulative count of Article Views (full-text article views including HTML views, PDF and ePub downloads, according to the available data) and Abstracts Views on Vision4Press platform.

Data correspond to usage on the plateform after 2015. The current usage metrics is available 48-96 hours after online publication and is updated daily on week days.

Initial download of the metrics may take a while.