Table 3
Ionic and total Cl abundances for objects where [Cl II] and/or [Cl IV] lines are detected.
| Cl2+ | ICF(A21) | |||||
|---|---|---|---|---|---|---|
| ID | Cl+ | cri+/H+ | Cl3+ | Sum | Cl/H | ICF(I06) |
| #1 | − | ![]() |
![]() |
![]() |
![]() |
![]() |
| #4 | ![]() |
![]() |
![]() |
![]() |
![]() |
![]() |
| #5 | − | ![]() |
![]() |
![]() |
![]() |
![]() |
| #87 | ![]() |
![]() |
![]() |
![]() |
![]() |
![]() |
| #89 | ![]() |
![]() |
− | ![]() |
![]() |
![]() |
| #90 | 3.46 ± 0.03 | ![]() |
![]() |
![]() |
![]() |
![]() |
| #91 | ![]() |
![]() |
![]() |
![]() |
![]() |
![]() |
| #92 | ![]() |
![]() |
![]() |
![]() |
![]() |
![]() |
| #110 | ![]() |
![]() |
− | ![]() |
![]() |
![]() |
| #111 | − | ![]() |
![]() |
![]() |
![]() |
![]() |
| #135 | − | ![]() |
![]() |
![]() |
![]() |
![]() |
| #139 | ![]() |
![]() |
3.27 ± 0.03 | ![]() |
![]() |
![]() |
| #140 | − | ![]() |
![]() |
![]() |
![]() |
![]() |
| #141 | − | ![]() |
![]() |
![]() |
3.97 ± 0.04 | ![]() |
| #211 | − | ![]() |
![]() |
![]() |
4.10 ± 0.04 | ![]() |
| #239 | − | ![]() |
![]() |
![]() |
![]() |
![]() |
| #256 | − | ![]() |
![]() |
![]() |
![]() |
![]() |
| #262 | − | ![]() |
![]() |
![]() |
![]() |
![]() |
| #269 | − | ![]() |
![]() |
![]() |
![]() |
![]() |
| #294 | − | ![]() |
![]() |
![]() |
![]() |
![]() |
Notes. The values are given in logarithmic units adding 12. The object corresponding to each ID is indicated in Table A.1. Total Cl/H abundances are computed as the sum of the available ionic abundances or from Cl2+/H+ and using the ICF schemes of A21 (Amayo et al. 2021) or I06 (Izotov et al. 2006).
Current usage metrics show cumulative count of Article Views (full-text article views including HTML views, PDF and ePub downloads, according to the available data) and Abstracts Views on Vision4Press platform.
Data correspond to usage on the plateform after 2015. The current usage metrics is available 48-96 hours after online publication and is updated daily on week days.
Initial download of the metrics may take a while.
![\[4.68_{+0.01}^{-0.02}\]](/articles/aa/full_html/2025/05/aa53950-25/aa53950-25-eq3.png)
![\[3.07_{+0.08}^{-0.08}\]](/articles/aa/full_html/2025/05/aa53950-25/aa53950-25-eq4.png)
![\[4.69_{+0.01}^{-0.02}\]](/articles/aa/full_html/2025/05/aa53950-25/aa53950-25-eq5.png)
![\[4.75_{+0.02}^{-0.01}\]](/articles/aa/full_html/2025/05/aa53950-25/aa53950-25-eq6.png)
![\[4.77_{+0.01}^{-0.02}\]](/articles/aa/full_html/2025/05/aa53950-25/aa53950-25-eq7.png)
![\[3.36_{+0.03}^{-0.04}\]](/articles/aa/full_html/2025/05/aa53950-25/aa53950-25-eq8.png)
![\[4.37_{+0.03}^{-0.04}\]](/articles/aa/full_html/2025/05/aa53950-25/aa53950-25-eq9.png)
![\[4.40_{+0.02}^{-0.02}\]](/articles/aa/full_html/2025/05/aa53950-25/aa53950-25-eq10.png)
![\[4.71_{+0.02}^{-0.02}\]](/articles/aa/full_html/2025/05/aa53950-25/aa53950-25-eq11.png)
![\[4.47_{+0.03}^{-0.03}\]](/articles/aa/full_html/2025/05/aa53950-25/aa53950-25-eq12.png)
![\[4.58_{+0.03}^{-0.04}\]](/articles/aa/full_html/2025/05/aa53950-25/aa53950-25-eq13.png)
![\[4.73_{+0.05}^{-0.06}\]](/articles/aa/full_html/2025/05/aa53950-25/aa53950-25-eq14.png)
![\[3.37_{+0.12}^{-0.11}\]](/articles/aa/full_html/2025/05/aa53950-25/aa53950-25-eq15.png)
![\[4.75_{+0.04}^{-0.05}\]](/articles/aa/full_html/2025/05/aa53950-25/aa53950-25-eq16.png)
![\[4.79_{+0.05}^{-0.05}\]](/articles/aa/full_html/2025/05/aa53950-25/aa53950-25-eq17.png)
![\[4.82_{+0.05}^{-0.06}\]](/articles/aa/full_html/2025/05/aa53950-25/aa53950-25-eq18.png)
![\[3.60_{+0.06}^{-0.06}\]](/articles/aa/full_html/2025/05/aa53950-25/aa53950-25-eq19.png)
![\[4.92_{+0.06}^{-0.07}\]](/articles/aa/full_html/2025/05/aa53950-25/aa53950-25-eq20.png)
![\[3.70_{+0.05}^{-0.05}\]](/articles/aa/full_html/2025/05/aa53950-25/aa53950-25-eq21.png)
![\[4.96_{+0.06}^{-0.07}\]](/articles/aa/full_html/2025/05/aa53950-25/aa53950-25-eq22.png)
![\[4.99_{+0.06}^{-0.07}\]](/articles/aa/full_html/2025/05/aa53950-25/aa53950-25-eq23.png)
![\[5.00_{+0.06}^{-0.07}\]](/articles/aa/full_html/2025/05/aa53950-25/aa53950-25-eq24.png)
![\[4.21_{+0.02}^{-0.02}\]](/articles/aa/full_html/2025/05/aa53950-25/aa53950-25-eq25.png)
![\[4.91_{+0.03}^{-0.03}\]](/articles/aa/full_html/2025/05/aa53950-25/aa53950-25-eq26.png)
![\[4.99_{+0.03}^{-0.03}\]](/articles/aa/full_html/2025/05/aa53950-25/aa53950-25-eq27.png)
![\[5.09_{+0.03}^{-0.03}\]](/articles/aa/full_html/2025/05/aa53950-25/aa53950-25-eq28.png)
![\[5.05_{+0.03}^{-0.03}\]](/articles/aa/full_html/2025/05/aa53950-25/aa53950-25-eq29.png)
![\[4.58_{+0.03}^{-0.03}\]](/articles/aa/full_html/2025/05/aa53950-25/aa53950-25-eq30.png)
![\[2.79_{+0.06}^{-0.05}\]](/articles/aa/full_html/2025/05/aa53950-25/aa53950-25-eq31.png)
![\[4.62_{+0.03}^{-0.03}\]](/articles/aa/full_html/2025/05/aa53950-25/aa53950-25-eq32.png)
![\[4.65_{+0.03}^{-0.03}\]](/articles/aa/full_html/2025/05/aa53950-25/aa53950-25-eq33.png)
![\[4.63_{+0.03}^{-0.03}\]](/articles/aa/full_html/2025/05/aa53950-25/aa53950-25-eq34.png)
![\[3.80_{+0.05}^{-0.05}\]](/articles/aa/full_html/2025/05/aa53950-25/aa53950-25-eq35.png)
![\[4.85_{+0.05}^{-0.07}\]](/articles/aa/full_html/2025/05/aa53950-25/aa53950-25-eq36.png)
![\[3.21_{+0.05}^{-0.04}\]](/articles/aa/full_html/2025/05/aa53950-25/aa53950-25-eq37.png)
![\[4.89_{+0.05}^{-0.06}\]](/articles/aa/full_html/2025/05/aa53950-25/aa53950-25-eq38.png)
![\[4.92_{+0.06}^{-0.06}\]](/articles/aa/full_html/2025/05/aa53950-25/aa53950-25-eq39.png)
![\[4.89_{+0.05}^{-0.07}\]](/articles/aa/full_html/2025/05/aa53950-25/aa53950-25-eq40.png)
![\[3.16_{+0.05}^{-0.06}\]](/articles/aa/full_html/2025/05/aa53950-25/aa53950-25-eq41.png)
![\[5.03_{+0.06}^{-0.07}\]](/articles/aa/full_html/2025/05/aa53950-25/aa53950-25-eq42.png)
![\[3.86_{+0.03}^{-0.03}\]](/articles/aa/full_html/2025/05/aa53950-25/aa53950-25-eq43.png)
![\[5.07_{+0.05}^{-0.07}\]](/articles/aa/full_html/2025/05/aa53950-25/aa53950-25-eq44.png)
![\[5.17_{+0.07}^{-0.06}\]](/articles/aa/full_html/2025/05/aa53950-25/aa53950-25-eq45.png)
![\[5.37_{+0.06}^{-0.07}\]](/articles/aa/full_html/2025/05/aa53950-25/aa53950-25-eq46.png)
![\[4.30_{+0.04}^{-0.04}\]](/articles/aa/full_html/2025/05/aa53950-25/aa53950-25-eq47.png)
![\[4.80_{+0.03}^{-0.03}\]](/articles/aa/full_html/2025/05/aa53950-25/aa53950-25-eq48.png)
![\[4.92_{+0.03}^{-0.03}\]](/articles/aa/full_html/2025/05/aa53950-25/aa53950-25-eq49.png)
![\[4.98_{+0.03}^{-0.03}\]](/articles/aa/full_html/2025/05/aa53950-25/aa53950-25-eq50.png)
![\[4.94_{+0.03}^{-0.03}\]](/articles/aa/full_html/2025/05/aa53950-25/aa53950-25-eq51.png)
![\[3.98_{+0.04}^{-0.04}\]](/articles/aa/full_html/2025/05/aa53950-25/aa53950-25-eq52.png)
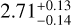
![\[2.71_{+0.13}^{-0.14}\]](/articles/aa/full_html/2025/05/aa53950-25/aa53950-25-eq53.png)
![\[4.00_{+0.04}^{-0.04}\]](/articles/aa/full_html/2025/05/aa53950-25/aa53950-25-eq54.png)
![\[4.13_{+0.04}^{-0.04}\]](/articles/aa/full_html/2025/05/aa53950-25/aa53950-25-eq55.png)
![\[4.46_{+0.04}^{-0.04}\]](/articles/aa/full_html/2025/05/aa53950-25/aa53950-25-eq56.png)
![\[4.22_{+0.06}^{-0.06}\]](/articles/aa/full_html/2025/05/aa53950-25/aa53950-25-eq57.png)
![\[3.59_{+0.05}^{-0.05}\]](/articles/aa/full_html/2025/05/aa53950-25/aa53950-25-eq58.png)
![\[4.31_{+0.05}^{-0.05}\]](/articles/aa/full_html/2025/05/aa53950-25/aa53950-25-eq59.png)
![\[4.29_{+0.06}^{-0.06}\]](/articles/aa/full_html/2025/05/aa53950-25/aa53950-25-eq60.png)
![\[4.34_{+0.06}^{-0.06}\]](/articles/aa/full_html/2025/05/aa53950-25/aa53950-25-eq61.png)
![\[3.20_{+0.05}^{-0.05}\]](/articles/aa/full_html/2025/05/aa53950-25/aa53950-25-eq62.png)
![\[4.03_{+0.03}^{-0.04}\]](/articles/aa/full_html/2025/05/aa53950-25/aa53950-25-eq63.png)
![\[4.15_{+0.02}^{-0.03}\]](/articles/aa/full_html/2025/05/aa53950-25/aa53950-25-eq64.png)
![\[4.10_{+0.03}^{-0.03}\]](/articles/aa/full_html/2025/05/aa53950-25/aa53950-25-eq65.png)
![\[4.10_{+0.03}^{-0.04}\]](/articles/aa/full_html/2025/05/aa53950-25/aa53950-25-eq66.png)
![\[4.09_{+0.04}^{-0.04}\]](/articles/aa/full_html/2025/05/aa53950-25/aa53950-25-eq67.png)
![\[3.32_{+0.03}^{-0.03}\]](/articles/aa/full_html/2025/05/aa53950-25/aa53950-25-eq68.png)
![\[4.16_{+0.03}^{-0.04}\]](/articles/aa/full_html/2025/05/aa53950-25/aa53950-25-eq69.png)
![\[4.16_{+0.04}^{-0.04}\]](/articles/aa/full_html/2025/05/aa53950-25/aa53950-25-eq70.png)
![\[4.20_{+0.04}^{-0.04}\]](/articles/aa/full_html/2025/05/aa53950-25/aa53950-25-eq71.png)
![\[3.84_{+0.03}^{-0.04}\]](/articles/aa/full_html/2025/05/aa53950-25/aa53950-25-eq72.png)
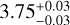
![\[3.75_{+0.03}^{-0.03}\]](/articles/aa/full_html/2025/05/aa53950-25/aa53950-25-eq73.png)
![\[4.10_{+0.02}^{-0.02}\]](/articles/aa/full_html/2025/05/aa53950-25/aa53950-25-eq74.png)
![\[4.20_{+0.03}^{-0.04}\]](/articles/aa/full_html/2025/05/aa53950-25/aa53950-25-eq75.png)
![\[4.02_{+0.04}^{-0.04}\]](/articles/aa/full_html/2025/05/aa53950-25/aa53950-25-eq76.png)
![\[3.88_{+0.02}^{-0.02}\]](/articles/aa/full_html/2025/05/aa53950-25/aa53950-25-eq77.png)
![\[4.26_{+0.02}^{-0.02}\]](/articles/aa/full_html/2025/05/aa53950-25/aa53950-25-eq78.png)
![\[4.19_{+0.04}^{-0.04}\]](/articles/aa/full_html/2025/05/aa53950-25/aa53950-25-eq79.png)
![\[4.11_{+0.04}^{-0.06}\]](/articles/aa/full_html/2025/05/aa53950-25/aa53950-25-eq80.png)
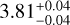
![\[3.81_{+0.04}^{-0.04}\]](/articles/aa/full_html/2025/05/aa53950-25/aa53950-25-eq81.png)
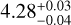
![\[4.28_{+0.03}^{-0.04}\]](/articles/aa/full_html/2025/05/aa53950-25/aa53950-25-eq82.png)
![\[4.18_{+0.05}^{-0.05}\]](/articles/aa/full_html/2025/05/aa53950-25/aa53950-25-eq83.png)
![\[4.22_{+0.04}^{-0.06}\]](/articles/aa/full_html/2025/05/aa53950-25/aa53950-25-eq84.png)
![\[3.88_{+0.11}^{-0.12}\]](/articles/aa/full_html/2025/05/aa53950-25/aa53950-25-eq85.png)
![\[3.83_{+0.07}^{-0.07}\]](/articles/aa/full_html/2025/05/aa53950-25/aa53950-25-eq86.png)
![\[4.16_{+0.07}^{-0.07}\]](/articles/aa/full_html/2025/05/aa53950-25/aa53950-25-eq87.png)
![\[4.03_{+0.11}^{-0.13}\]](/articles/aa/full_html/2025/05/aa53950-25/aa53950-25-eq88.png)
![\[4.34_{+0.11}^{-0.12}\]](/articles/aa/full_html/2025/05/aa53950-25/aa53950-25-eq89.png)
![\[3.90_{+0.04}^{-0.04}\]](/articles/aa/full_html/2025/05/aa53950-25/aa53950-25-eq90.png)
![\[3.62_{+0.06}^{-0.06}\]](/articles/aa/full_html/2025/05/aa53950-25/aa53950-25-eq91.png)
![\[4.08_{+0.03}^{-0.03}\]](/articles/aa/full_html/2025/05/aa53950-25/aa53950-25-eq92.png)
![\[4.04_{+0.04}^{-0.04}\]](/articles/aa/full_html/2025/05/aa53950-25/aa53950-25-eq93.png)
![\[4.28_{+0.04}^{-0.04}\]](/articles/aa/full_html/2025/05/aa53950-25/aa53950-25-eq94.png)
![\[4.29_{+0.06}^{-0.08}\]](/articles/aa/full_html/2025/05/aa53950-25/aa53950-25-eq95.png)
![\[3.74_{+0.06}^{-0.06}\]](/articles/aa/full_html/2025/05/aa53950-25/aa53950-25-eq96.png)
![\[4.40_{+0.05}^{-0.07}\]](/articles/aa/full_html/2025/05/aa53950-25/aa53950-25-eq97.png)
![\[4.36_{+0.07}^{-0.07}\]](/articles/aa/full_html/2025/05/aa53950-25/aa53950-25-eq98.png)
![\[4.40_{+0.06}^{-0.08}\]](/articles/aa/full_html/2025/05/aa53950-25/aa53950-25-eq99.png)
![\[3.67_{+0.04}^{-0.05}\]](/articles/aa/full_html/2025/05/aa53950-25/aa53950-25-eq100.png)
![\[3.69_{+0.02}^{-0.03}\]](/articles/aa/full_html/2025/05/aa53950-25/aa53950-25-eq101.png)
![\[3.99_{+0.02}^{-0.03}\]](/articles/aa/full_html/2025/05/aa53950-25/aa53950-25-eq102.png)
![\[3.78_{+0.04}^{-0.05}\]](/articles/aa/full_html/2025/05/aa53950-25/aa53950-25-eq103.png)
![\[3.96_{+0.04}^{-0.05}\]](/articles/aa/full_html/2025/05/aa53950-25/aa53950-25-eq104.png)