Open Access

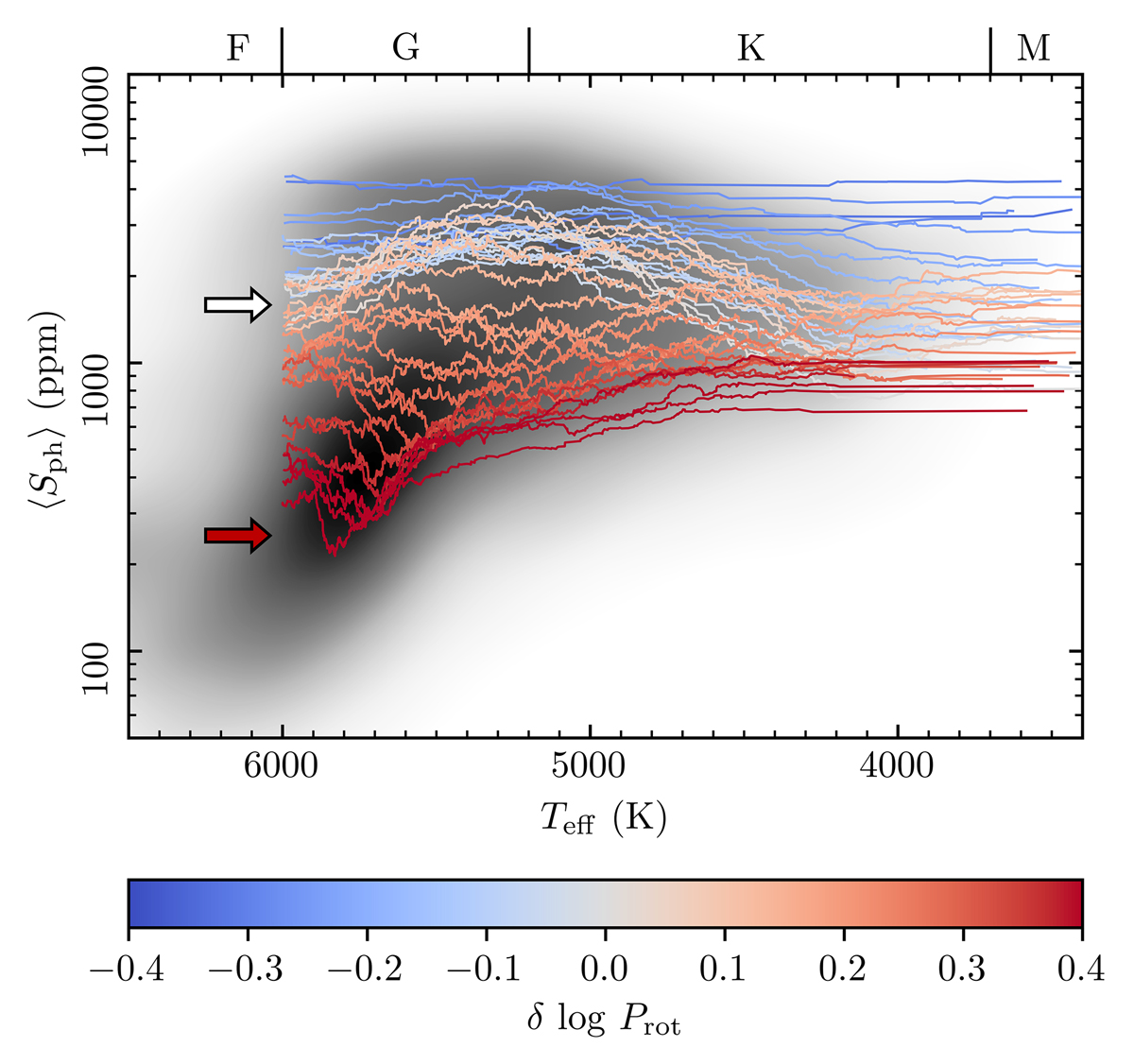
Fig. 5.

image

Download original image

Magnetic activity sequences according to the distance to the intermediate-Prot gap, indicated by the color-code. Lighter colors correspond to stars close to the gap. For better visualization, the axis scales differ from those in other figures. To guide the eye, the arrows approximately indicate the activity-sequence overdensities at 6000 K.

Current usage metrics show cumulative count of Article Views (full-text article views including HTML views, PDF and ePub downloads, according to the available data) and Abstracts Views on Vision4Press platform.

Data correspond to usage on the plateform after 2015. The current usage metrics is available 48-96 hours after online publication and is updated daily on week days.

Initial download of the metrics may take a while.