Open Access

Fig. 10.

image

Download original image

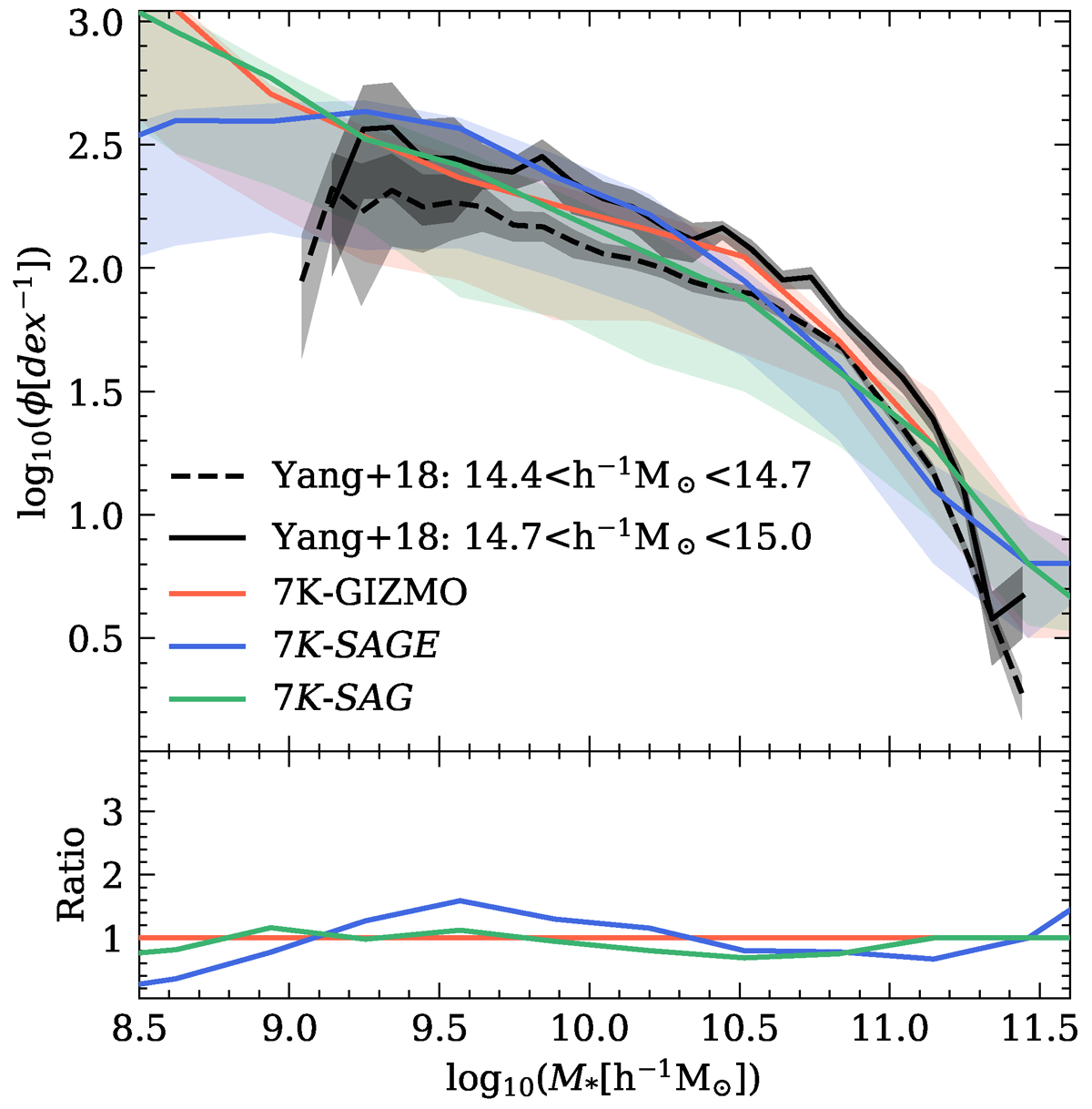
Median satellite stellar mass function (⟨SSMF⟩) in different models and observations. We show the median values (solid lines) with 1σ error bars (shaded regions) in each stellar mass bin, obtained from the SSMFs of the clusters. The observational results within two particular halo mass ranges are shown in black lines from Yang et al. (2018), while the ⟨SSMF⟩ from the models 7K-GIZMO, 7K-SAGE, and 7K-SAG are displayed in red, blue, and green, respectively. This plot corresponds to Fig. 8 in Cui et al. (2022) but with the results from the GADGET-X and GIZMO models at 3K resolution removed.

Current usage metrics show cumulative count of Article Views (full-text article views including HTML views, PDF and ePub downloads, according to the available data) and Abstracts Views on Vision4Press platform.

Data correspond to usage on the plateform after 2015. The current usage metrics is available 48-96 hours after online publication and is updated daily on week days.

Initial download of the metrics may take a while.