Open Access

Fig. 3.

image

Download original image

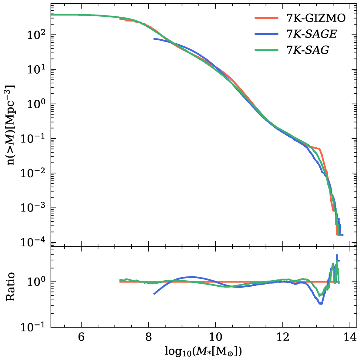
The cumulative halo mass function at z = 0 obtained by stacking the cumulative functions of all halo clusters with Mhalo > 1014 M in the 150 coincident regions between 7K-GIZMO, 7K-SAGE, and 7K-SAG. The bottom panel shows the ratio compared with 7K-GIZMO.

Current usage metrics show cumulative count of Article Views (full-text article views including HTML views, PDF and ePub downloads, according to the available data) and Abstracts Views on Vision4Press platform.

Data correspond to usage on the plateform after 2015. The current usage metrics is available 48-96 hours after online publication and is updated daily on week days.

Initial download of the metrics may take a while.