Open Access

Fig. 8.

image

Download original image

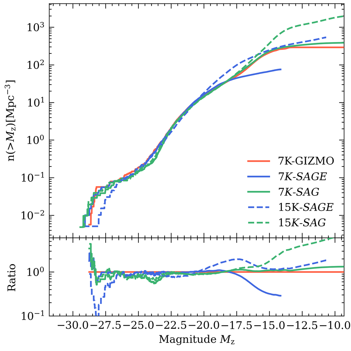
Cumulative luminosity function (CLF) for the absolute magnitude in the z-band at z = 0, derived from all halo clusters with Mhalo > 1014 M in the coincident regions of all simulation types used in this work, where the z-band was one of the bands employed in the calibration of the 7K-SAM. The bottom panel shows the ratio of all the CLFs compared with that of 7K-GIZMO.

Current usage metrics show cumulative count of Article Views (full-text article views including HTML views, PDF and ePub downloads, according to the available data) and Abstracts Views on Vision4Press platform.

Data correspond to usage on the plateform after 2015. The current usage metrics is available 48-96 hours after online publication and is updated daily on week days.

Initial download of the metrics may take a while.