Open Access

Fig. 5

image

Download original image

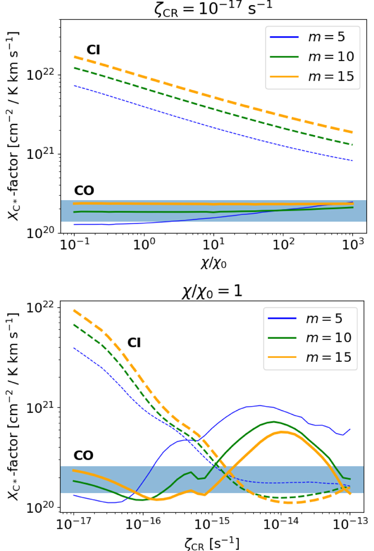
Conversion factors at [O/H] = 0 for a fixed ζCR = 10−17 s−1 (top panel) and for a fixed χ/χ0 = 1 (bottom panel). The AV-PDF widths are σPDF = 0.4. The blue lines correspond to m = 5, the green lines to m = 10, and the orange lines to m = 15 mag. The solid lines correspond to XCO, and the dashed lines show XCI. The shaded blue stripe represents the average MW value.

Current usage metrics show cumulative count of Article Views (full-text article views including HTML views, PDF and ePub downloads, according to the available data) and Abstracts Views on Vision4Press platform.

Data correspond to usage on the plateform after 2015. The current usage metrics is available 48-96 hours after online publication and is updated daily on week days.

Initial download of the metrics may take a while.