Open Access

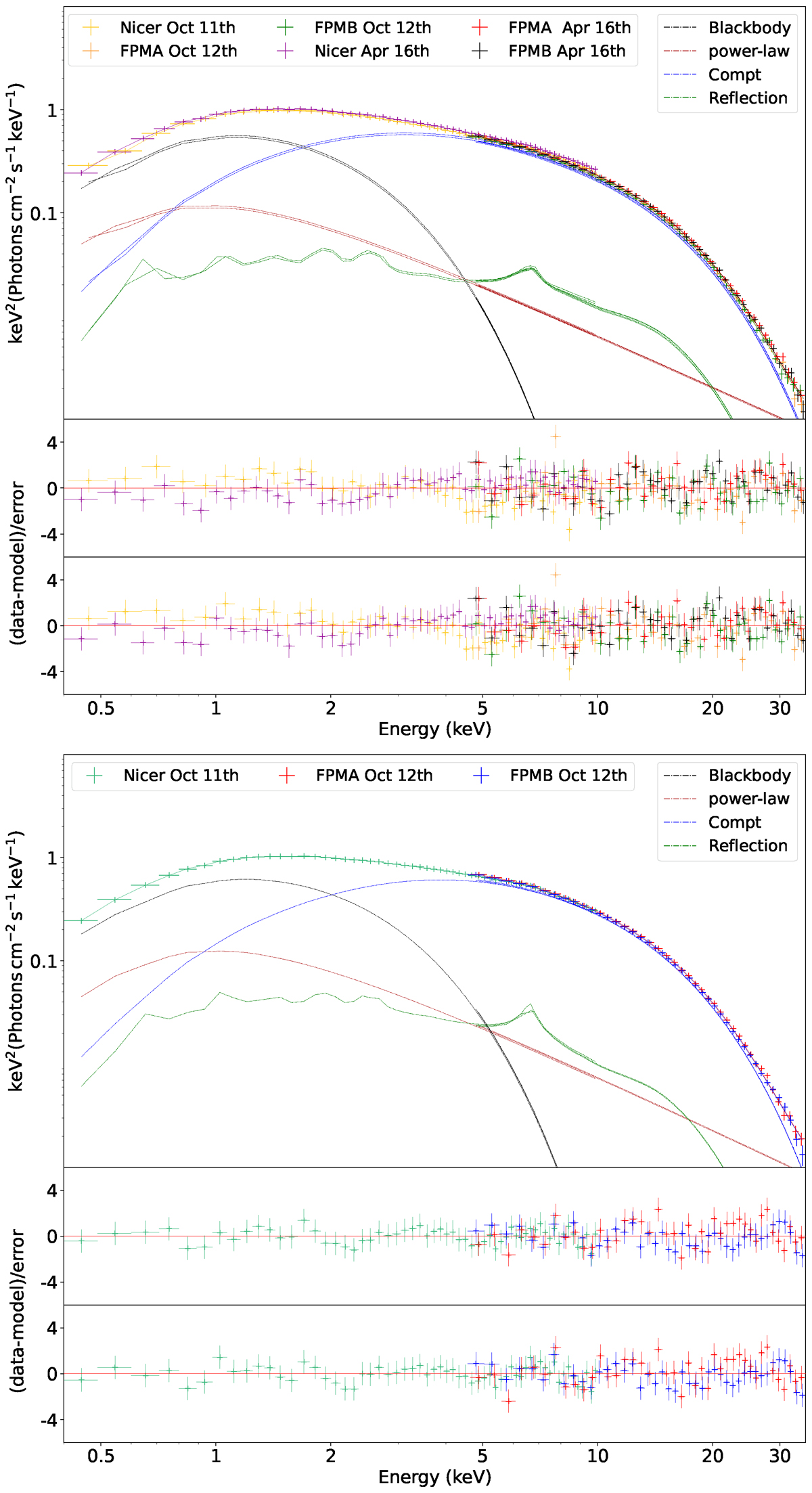
Fig. 3.

image

Download original image

Spectra and residuals in units of sigma with respect to Model 3 (second panel) and 3A (third panel) for the October and April 16 data (upper panel) and April 15 data (bottom panel). Data were rebinned for visual purposes only.

Current usage metrics show cumulative count of Article Views (full-text article views including HTML views, PDF and ePub downloads, according to the available data) and Abstracts Views on Vision4Press platform.

Data correspond to usage on the plateform after 2015. The current usage metrics is available 48-96 hours after online publication and is updated daily on week days.

Initial download of the metrics may take a while.